Álgebra, rama de las matemáticas en la que se usan letras par representar relaciones aritméticas. Al igual que en la aritmética, las operaciones fundamentales del álgebra son adición, sustracción, multiplicación, división y cálculo de raíces. La aritmética, sin embargo, no es capaz de generalizar las relaciones matemáticas, como el teorema de Pitágoras, que dice que en un triángulo rectángulo el área del cuadrado que tiene como lado la hipotenusa es igual a la suma de las áreas de los cuadrados cuyos lados son los catetos. La aritmética sólo da casos particulares de esta relación (por ejemplo, 3, 4 y 5, ya que 32 + 42 = 52). El álgebra, por el contrario, puede dar una generalización que cumple las condiciones del teorema: a2 + b2 = c2.
El álgebra clásica, que se ocupa de resolver ecuaciones,
utiliza símbolos en vez de números específicos y operaciones
aritméticas para determinar cómo usar dichos símbolos. El
álgebra moderna ha evolucionado desde el álgebra clásica al
poner más atención en las estructuras matemáticas. Los
matemáticos consideran al álgebra moderna como un conjunto
de objetos con reglas que los conectan o relacionan. Así, en
su forma más general, se dice que el álgebra es el idioma de
las matemáticas.
Para trabajar en álgebra son necesarios ciertos conocimientos previos sobre operatoria en Números Enteros y Números Racionales. También deben conocerse las propiedades de las potencias.
Los ejercicios deben desarrollarse de acuerdo a las operatorias que se realicen. Se pueden restar o sumar términos semejantes, multiplicar expresiones algebraicas o bien simplificarlas.
Símbolos y términos específicos
Entre los símbolos algebraicos se encuentran números, letras y signos que representan las diversas operaciones aritméticas.
Los números son, por supuesto, constantes, pero las letras pueden representar tanto constantes como variables. Las primeras letras del alfabeto se usan para representar constantes y las últimas para variables.
Operaciones y agrupación de símbolos
La agrupación de los símbolos algebraicos y la secuencia de las operaciones aritméticas se basa en los símbolos de agrupación, que garantizan la claridad de lectura del lenguaje algebraico.
Entre los símbolos de agrupación se encuentran los paréntesis (), corchetes [], llaves {} y rayas horizontales —también llamadas vínculos— que suelen usarse para representar la división y las raíces, como en el siguiente ejemplo:
![]()
Los símbolos de las operaciones básicas son bien conocidos de la aritmética: adición (+), sustracción (-), multiplicación (×) y división (:).
En el caso de la multiplicación, el signo ‘×’ normalmente se omite o se sustituye por un punto, como en a·b. Un grupo de símbolos contiguos, como abc, representa el producto de a, b y c.
La división se indica normalmente mediante rayas horizontales. Una raya oblicua, o virgulilla, también se usa para separar el numerador, a la izquierda de la raya, del denominador, a la derecha, en las fracciones.
Hay que tener cuidado de agrupar los términos apropiadamente.
Por ejemplo, ax + b/c - dy indica que ax y dy son términos separados, lo mismo que b/c, mientras que (ax + b)/(c - dy) representa la fracción:
![]()
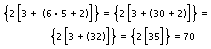
Prioridad de las operaciones
Primero se hacen las multiplicaciones, después las divisiones, seguidas de las sumas y las restas.
Los símbolos de agrupación indican el orden en que se han de realizar las operaciones: se hacen primero todas las operaciones dentro de un mismo grupo, comenzando por el más interno.
Por ejemplo:
![]()
Números Reales
Los números que se utilizan en el álgebra son los números reales. Hay un número real en cada punto de la recta numérica.
Los números reales se dividen en números racionales, números irracionales y números enteros los cuales a su vez se dividen en números negativos, números positivos y cero (0).
Podemos verlo en esta tabla:

Un número real es racional
si se puede representar como cociente a/b, donde
a sea un entero y b sea un entero no igual a
cero. Los números racionales pueden escribirse en forma
decimal.
Existen dos maneras para hacerlo:
1) como decimales finitos
2) como decimales que se repiten infinitamente
Los números reales que no pueden ser expresados en la forma a/b, donde a y b son enteros se llaman números irracionales. Los números irracionales no tienen decimales finales ni decimales que se repiten infinitamente.
Al hacer operaciones algebraicas, se asume que se cumplen las mismas propiedades que para la aritmética numérica.
En aritmética, los números usados son sólo del conjunto de los números racionales. La aritmética, por sí sola, no puede ir más lejos, pero el álgebra y la geometría pueden incluir números irracionales, como la raíz cuadrada de 2 y números complejos.
Repitiendo el concepto, el conjunto de todos los números racionales e irracionales constituye el conjunto de los números reales.
Propiedades de los números reales
Propiedades de la adición
La suma de dos números reales a y b cualesquiera dará como resultado otro número real que se escribe a + b. Los números reales son uniformes para las operaciones de adición, sustracción, multiplicación y división; esto quiere decir que al realizar una de estas operaciones con números reales el resultado es otro número real.
Propiedad Asociativa de la adición:
Cualquiera que sea la forma en que se agrupan los términos de la adición, el resultado de la suma es siempre el mismo: (a + b) + c = a + (b + c).
También
Es la llamada propiedad asociativa
de la adición.
Un ejemplo aritmético: (4 + 2) + 9 = 4 + (2 + 9)
Elemento neutro de la adición
Dado un número real
a cualquiera, existe el número real cero (0) conocido
como elemento neutro de la adición,
tal que a + 0 = 0 + a = a.
Elemento simétrico de la adición
Dado un número real a cualquiera, existe otro número real (-a), llamado elemento simétrico de a (o elemento recíproco de la suma), tal que a + (-a) = 0.
Propiedad Conmutativa de la adición
Cualquiera que sea el orden en que se realiza la operación, la suma es siempre la misma: a + b = b + a.
También
Es
la llamada propiedad conmutativa de la adición.
Un ejemplo aritmético: 4 + 2 = 2 + 4
Propiedades de la multiplicación
Para la multiplicación se cumplen propiedades similares a las de la adición. Sin embargo, en la multiplicación hay que prestar especial atención al elemento neutro y al elemento recíproco o inverso.
El producto de dos números reales a y b es otro número real, que se escribe a·b o ab.
Propiedad Asociativa de la multiplicación
Cualquiera que sea la forma de agrupar los términos de la multiplicación, el producto es siempre el mismo: (ab)c = a(bc).
También
Es la
llamada propiedad asociativa de la multiplicación.
Un ejemplo aritmético:![]()
Elemento neutro
Dado un número real a cualquiera, existe el número real uno (1) llamado elemento neutro de la multiplicación, tal que a(1) = 1(a) = a.
Elemento recíproco o inverso
Dado un número real a distinto de cero, existe otro número (a-1 o 1/a), llamado elemento inverso (o elemento recíproco de la multiplicación), para el que a(a-1) = (a-1)a = 1.
Propiedad Conmutativa de la multiplicación
Cualquiera que sea el orden en que se realiza la multiplicación, el producto es siempre el mismo: ab = ba.
También
Es
la llamada propiedad conmutativa de
la multiplicación.
Un ejemplo aritmético:![]()
Propiedad distributiva de multiplicación sobre adición:
Otra propiedad importante del conjunto de los números reales relaciona la adición y la multiplicación de la forma siguiente:
a(b + c) = ab + ac también (b + c)a = ba + ca
También
Un ejemplo aritmético:![]()
Reglas de los Signos:
1. En una suma de números con signos iguales, se suman los números y el resultado lleva el mismo signo. Si los números tienen signos diferentes, se restan y el resultado lleva el signo del mayor.
Ejemplo:
5 + 8 = 13
5 + -8 = -3
2. En resta de signos iguales el resultado lleva el signo del mayor. Si se restan signos diferentes, se suman los números y el resultado lleva el signo del mayor.
Ejemplo:
5 - 8 = -3
5 - (-8) = 13
3. En multiplicación y división de números con signos iguales el resultado es positivo. Si los números son de signos opuestos, el resultado es negativo.
Ejemplos:
5 x 8 = 40 5 x -8 = -40
Multiplicación de polinomios
El siguiente ejemplo es el producto de un monomio por un binomio:
(ax + b) (cx2) = acx3 + bcx2
Este mismo principio —multiplicar cada término del primer polinomio por cada uno del segundo— se puede ampliar directamente a polinomios con cualquier número de términos. Por ejemplo, el producto de un binomio y un trinomio se hace de la siguiente manera:
(ax3 + bx2 – cx) (dx + e) = adx4 +aex3 + bdx3 + bex2 – cdx2 - cex
Una vez hechas estas operaciones, todos los términos de un mismo grado se han de agrupar, siempre que sea posible, para simplificar la expresión:
= adx4 + (ae + bd)x3 + (be – cd) x2 – cex

