|
Equivalencia de unidades |
|
•
Litros = l.
•
Mililitro = ml.
•
Centímetro cúbico = cm3 o cc.
•
1 l. equivale a 1.000 cc.
•
1 l. equivale a 1.000 ml.
•
1 cc es igual a 1 ml. |
|
|
El volumen
Proyecto Salón Hogar
El
volumen es otra propiedad física de la materia. Es el lugar que
ocupa un cuerpo en el espacio. Se simboliza con la letra V y
normalmente se asocia con el tamaño del cuerpo. Para medir el
volumen se pueden utilizar distintos instrumentos, y las
unidades en que se expresa pueden variar, dependiendo del estado
en que se encuentre la materia. Veamos entonces.
Actividades
-
Midamos el volumen de un líquido
-
Midiendo el volumen de un sólido regular
-
¿Se puede medir el volumen de una piedra?
-
¿Podremos medir el volumen de un gas?

Unidades de volumen
Se clasifican 3
categorías:
-
Unidades de volumen sólido.
Miden al volumen de un cuerpo utilizando
unidades de longitud elevadas a la tercera
potencia. Se le dice volumen sólido porque
en geometría se utiliza para medir el
espacio que ocupan los cuerpos
tridimensionales, y se da por hecho que el
interior de esos cuerpos no es hueco sino
que es sólido.
-
Unidades de volumen líquido.
Éstas unidades fueron creadas para medir el
volumen que ocupan los líquidos dentro de un
recipiente.
-
Unidades de volumen de áridos,
también llamadas tradicionalmente
unidades de capacidad. Éstas unidades
fueron creadas para medir el volumen que
ocupan las cosechas (legumbres, tubérculos,
forrajes y frutas) almacenadas en graneros y
silos. Estas unidades fueron creadas porque
hace muchos años no existía un método
adecuado para pesar todas las cosechas en un
tiempo breve, y era más práctico hacerlo
usando volúmenes áridos. Actualmente, estas
unidades son poco utilizadas porque ya
existe tecnología para pesar la cosecha en
tiempo breve.
Ver

ejercicios del
Sistema de medidas
Volumen en
cuerpos poliédricos regulares
El volumen de un cuerpo regular es un número que se obtiene
comparando el volumen del cuerpo con la unidad. Consideraremos a
la unidad como un cubo de arista uno y por definición su volumen
será 1. Entonces, la medida del volumen de un cuerpo será igual
al número de cubos unitarios que contenga. Por ejemplo,
considerando el cubo unidad que se indica en la figura, el
cuerpo adjunto está formado por 25 cubos unidad. Podemos afirmar
entonces que el cuerpo del ejemplo tiene 25 unidades de volumen
.
Unidades de medida del
volumen
Las
unidades de volumen son estandarizaciones que permiten
dimensionar el número que indica el volumen. Como unidad base,
se considera a un cubo cuya arista mide un centímetro o un
metro, un kilómetro, etc. Por definición su volumen tendrá el
valor 1, acompañado de la unidad de su arista elevada a tres.
Por ejemplo, en la figura siguiente, el volumen del cubo mide un
centímetro cúbico y se abrevia por 1 cm3 .
Volumen
del cubo unidad = 1 cm3
En la siguiente tabla se muestra las unidades de medida de
volumen más utilizadas:
|
Arista del cubo unidad
|
Unidad de Volumen asociada
|
Abreviatura
|
|
1 Milímetro |
Milímetro cúbico |
mm3 |
|
1 Centímetro |
Centímetro cúbico |
cm3 |
|
1 Decímetro |
Decímetro cúbico |
dm3 |
|
1 Metro |
Metro cúbico |
m3 |
|
1 Decámetro |
Decámetro cúbico |
Dm3 |
|
1 Hectómetro |
Hectómetro cúbico |
Hm3 |
|
1 Kilómetro |
Kilómetro cúbico |
Km3 |
Si la unidad de volumen del cubo unidad es el centímetro cúbico,
entonces todos los volúmenes obtenidos a partir de él estarán en
centímetros cúbicos. Se sigue la misma analogía si el cubo
unidad tiene otra unidad de volumen.
Medición del volumen de algunos
cuerpos simples con dos caras paralelas
Un
cubo es cuerpo formado por seis caras cuadradas y en cada
vértice convergen 3 aristas mutuamente perpendiculares.
El volumen de un cubo es igual al valor de su arista elevada a
tres, como muestra la siguiente figura: Si la arista del cubo
adjunto mide 3 cm entonces su volumen se obtiene elevando a tres
su arista:
Vcubo=(3cm)3
= 33 cm3 = 27cm3
El
volumen a · a · a = a3 de un cubo se
puede también definir como el producto del área de la cara basal
a · a por la altura a, es decir:
V =
a · a · a= (a · a ) · a = a2
· a = a3
Un
paralelepípedo es un cuerpo de seis caras pudiendo ser
dos de ellas cuadradas (caras basales) y el resto rectangular (caras
laterales). Si las caras laterales son perpendiculares a la
altura del cuerpo entonces es le denomina paralelepípedo
recto, en caso contrario se trata de un paralelepípedo
oblicuo.
El volumen del paralelepípedo recto se calcula
multiplicando las longitudes de las tres aristas convergentes a
un vértice. Por ejemplo, si las aristas de un paralelepípedo
recto son 2, 3 y 6 cm entonces el volumen del mismo se obtiene
multiplicando 2 · 3 · 6:
Por
lo tanto, si las tres aristas concurrentes a un vértice miden
a, b y c entonces su volumen se calcula a
través de la fórmula:
El volumen a · b · c de un paralelepípedo recto
se puede también definir como el producto del área de la
cara basal a · b por la altura c, es decir:
V = (a · b ) · c = a · b · c
El
procedimiento para calcular el volumen de un paralelepípedo
oblicuo varía respecto al del paralelepípedo recto sólo en
que la altura debe medirse en la perpendicular levantada desde
el plano que contiene a base inferior hasta algún punto de la
base superior, como muestra la línea roja en la figura adjunta.
Si
las aristas de un paralelepípedo oblicuo son 2, 3 y 4 cm (como
muestra la figura adjunta) entonces su volumen se obtiene
multiplicando el área de la base (2 · 3 = 6) por la altura del
mismo (6 · 4 = 24), es decir:

Por lo tanto, si las aristas de la base de un paralelepípedo
miden a y b, y su altura mide h entonces su
volumen se calcula a través de la fórmula del paralelepípedo
recto:
El volumen a · b · h de un paralelepípedo oblicuo
de aristas basales a, b y altura h
también se puede definir como el producto del área de la cara
basal a · b por la altura h, es
decir,
V = (a · b ) · h = a · b · h
Un
cilindro recto, de base circular, es un cuerpo formado
por dos caras circulares paralelas, como base, cuyos centros
pertenecen a un segmento de recta perpendicular a ambos círculos,
y por una superficie que las rodea por su borde, como muestra la
figura adjunta.
El volumen de un cilindro recto de base circular de radio
r y altura h se obtiene multiplicando el
área de la circunferencia basal por la altura h.
Sabemos que el área de un círculo de radio r es:
Acírculo = p · r2
El volumen del cilindro cuya base es el círculo descrito
anteriormente se obtiene multiplicando el área de dicho círculo
por la altura del cilindro, es decir:
Vcilindro = Acírculo
· h o sea:
El volumen p · r2 · h de un cilindro recto de
base circular (con radio r) y altura h
también se puede definir como el producto del área de la cara
basal p · r2 por la altura h, es decir,
V = (p · r2) · h = p · r2
· h
Un
cilindro oblicuo, de base circular, es un cuerpo formado
por dos caras circulares paralelas, como base, cuyos centros
pasan por un segmento de recta que, a diferencia del cilindro
recto, no es perpendicular a ambos círculos, y rodeado
por una superficie que ajusta a los círculos, como muestra la
figura adjunta.
El volumen de un cilindro oblicuo de base circular de
radio r y altura h se obtiene
multiplicando el área de la circunferencia basal por la altura
h.
Sabemos que el área de un círculo de radio r es:
Acírculo = p · r2
El volumen del cilindro cuya base es el círculo descrito
anteriormente se obtiene multiplicando el área de dicho círculo
por la altura del cilindro, es decir:
Vcilindro = Acírculo
· h o sea:
Podemos resumir el cálculo del volumen de paralelepípedos y
cilindros en el siguiente esquema:

Medición del volumen de algunos cuerpos
simples con sólo una cara de base
Una pirámide es un poliedro formado por un polígono, llamado
base, y por caras laterales triangulares con un vértice común
llamado vértice de la pirámide. Dependiendo del número de lados
del polígono base (o equivalentemente del número de caras
laterales) se clasifican en pirámides triangulares,
cuadrangulares, etc.
Una
pirámide recta de base cuadrada es aquella cuya base es
un cuadrado de lado a y en la que el segmento
bajado desde el vértice de la pirámide es perpendicular al plano
de su base. Además, la longitud h de ese segmento
se llama altura de la pirámide. Ver figura adjunta:
El volumen de la pirámide recta de base cuadrada se obtiene
dividiendo por tres al producto entre su área basal a2
y su altura h, es decir:
Una pirámide oblicua de base cuadrada es aquella cuya
base es un cuadrado de lado a y en la que el
segmento bajado desde el vértice de la pirámide hasta su base
no es perpendicular al plano de la base. La perpendicular
bajada desde el vértice de la pirámide hasta su base (o al plano
que contiene a la base) se llama altura de la pirámide. En la
figura adjunta, la altura tiene longitud h.
El
volumen de la pirámide oblicua de base cuadrada se obtiene de
manera análoga al de las pirámides rectas, usando la misma
fórmula, es decir:
La
figura siguiente muestra un cono recto de radio basal
r y altura h. La base del cono es un
círculo, cuya área es:
Acírculo = p · r2
El
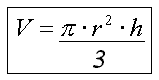
volumen del cono recto corresponde a la tercera parte del
producto entre el área de su base y su altura, es decir:

El
cálculo del volumen en los conos oblicuos es análogo al
de los cilindros rectos. Podemos observar en la figura adjunta,
un cono oblicuo de altura h y radio basal r. Su
volumen se obtiene, una vez más, de manera análoga al del cono
recto y su fórmula es la misma:

Podemos resumir el cálculo del volumen de pirámides y conos en
el siguiente esquema:
Medición del volumen
de la esfera
El volumen de una esfera de radio r se obtiene a
través de la fórmula:
Arquímides ideó un método simple para determinar el
volumen de la esfera. Imaginó una semiesfera, un cono y un
cilindro juntos. Supuso que la esfera tenía radio R
y tanto el cono como el cilindro con el mismo radio basal
R. También supuso que las alturas del cono y el cilindro
medían R como muestra la siguiente figura:
De estas figuras, son conocidos los volúmenes:
-
Del cilindro: radio R y altura R, o
sea p·R2·R = p·R3
-
Del cono: radio R y altura R,
o sea (p·R2·R )/3 = (p·R3)/3
Luego cortó las tres figuras con un plano paralelo a la base del
cilindro y del cono y a una distancia d de la
parte superior de las figuras. Luego se preguntó cómo serían las
secciones determinados por este plano en la semiesfera, el cono
y el cilindro:
En el cilindro la sección que determina el plano es claramente
un círculo de radio R y su área es:
En la semiesfera, la sección circular que determina el plano
que corta a la semiesfera, tiene un radio r (menor
a R ) que depende de la distancia d.
La siguiente figura muestra la situación:
El área del círculo de radio r, es:
Además, usando el Teorema de Pitágoras, en el triángulo
rectángulo de lados R , d y r
se cumple que:
El cono que consideró Arquímides, tiene altura y radio basal
R, por lo tanto el triángulo formado por dicho radio
basal, la altura y la pared del cono es rectángulo e isósceles.
Por semejanza de triángulos, el circulo que determina el plano
que corta al cono tiene radio d. La siguiente
figura lo muestra:
En el cono, la sección que determina el plano, es un círculo de
radio d y su área es:

Hasta ahora sabemos que:
pero de la semiesfera obtuvimos que:
Si en el área del cilindro reemplazamos R2
por r2 + d2
entonces tendremos que:
Es decir, la suma de las áreas de las secciones del cono y la
semiesfera es igual al área de la sección del cilindro.
Esto ocurre para cualquier valor de d, por lo
tanto, si consideramos las secciones (que forma el plano al
cortar las figuras) como rebanadas finas, para cada trío de
rebanadas tendríamos que:
Rebanada del cilindro = Rebanada de la semiesfera + Rebanada del
cono
De la relación anterior podríamos suponer entonces que:
Volumen del cilindro = Volumen de la semiesfera + Volumen del
cono
y
si reemplazamos en esta relación las fórmulas conocidas del
volumen del cono y el cilindro, entonces es posible determinar
el volumen de la semiesfera:
Despejando,
Por lo tanto, el volumen de la esfera es el doble del de
la semiesfera:
El método de Arquímedes para encontrar el volumen de la esfera
es simple e ingenioso. Arquímedes quedó tan maravillado con él,
que dispuso grabar en su tumba esta figura, en recuerdo de su
idea:

Clasificación
de los cuerpos
Se puede observar del diagrama que a partir de esta
clasificación existen básicamente tres formas de calcular su
volumen: el de los cilindros, el de las pirámides y el de la
esfera.

Medición
del volumen en cuerpos no regulares
Cuando
un sólido no tiene una forma geométrica que permita determinar
por cálculo su volumen, se mide éste directamente. El
procedimiento se le atribuye a Arquímedes.
Supongamos que se desea saber el volumen de una piedra pequeña.
Por lo general las piedras tienen una forma muy irregular, por
lo que es muy difícil calcular su volumen comparándolo con un
cubo unidad. En estos casos se calcula su volumen por
desplazamiento de agua.
En un recipiente graduado vertemos un líquido y, a continuación,
sumergimos en él el sólido cuyo volumen deseamos conocer. El
aumento de nivel del líquido nos permitirá, por sustracción,
determinar el volumen del sólido. Normalmente el líquido
empleado será agua, pero si el sólido se disuelve en ella (por
ejemplo la sal o el azúcar) usaremos otro líquido que no
disuelva al sólido.
El siguiente diagrama muestra un objeto irregular y un
recipiente con 9 centímetros cúbicos de agua. La cantidad de
agua debe ser la suficiente para que el objeto pueda ser
sumergido en ella.
Se introduce el objeto en el recipiente y se mide el
desplazamiento de agua que provocó:

Al introducir el objeto al recipiente el agua subió su nivel
marcando un volumen de 11 cm 3. Antes de introducirlo
el volumen del agua marcaba 9 cm 3 por lo que la
diferencia de volumen se debe al objeto.

El volumen del objeto se obtiene restando el volumen del agua,
con el objeto, menos el volumen del agua sin el objeto:
V = 11 cm 3 - 9 cm 3 = 2
cm 3
Por lo tanto el objeto tiene un volumen de 2 cm 3.
Este método es bastante sencillo, pero es útil sólo para objetos
pequeños que no absorben el líquido en el que son sumergidos. No
es posible usarlo para medir el volumen de una pirámide Egipcia,
por ejemplo.
Otra manera de conocer el volumen de un sólido cuando no tiene
una forma geométrica que permita calcular su volumen a través de
las fórmulas vistas es usa. Veamos un ejemplo que visualiza este
principio.
Usando tres montoncitos de 15 fichas (monedas de $10 u objetos
similares, todos iguales) y una cinta de cartulina cuyo ancho
sea mayor que el diámetro de las fichas, ordena las fichas en 3
pilas de modo que sólo una sea recta y las otras dos sean
oblicuas o sinuosas y a continuación pasa la cinta entre las
fichas a la misma altura en las tres pilas.
Notarás que las áreas de las fichas que tocan la cinta son
iguales para las tres pilas y si pasas la cinta a cualquier otra
altura, las áreas de las fichas siguen siendo iguales. El
Principio de Cavalieri asegura que si esto ocurre
para cualquier altura entonces las tres pilas tienen el mismo
volumen.
|