![]()
Los creadores de la teoría de la combinatoria son: Blaise Pascal y Gottfried Wilhelm Leibniz, pero también se interesaron por el tema Jakob Bernoulli, en su libro Ars Conjectandi y Euler.
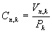
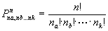
Mi padre me dice que si me aprendo las fórmulas no sabré resolver estos problemas. Creo que tiene razón, pero de todas formas, por si alguien las necesita, aquí están:

![]()
Vn,k = n (n-1)(n-2)...(n-k+1)
VRn,k = nk
Supongamos que tenemos una bolsa con bolas numeradas desde el 1 hasta el 49 (como la lotería primitiva) y sacamos 6 bolas. La primera bola la elegimos entre 49, la segunda entre 48, la tercera entre 47, etc.
Pn = n(n-1)(n-2)...1
![]()