|
L a G r a n E n
c i c l o p e d i a I l u s t r a d a d e l
P r o y e c t o S a l ó n H o g a r |
|
|

GEOMETRíA
Rectas Paralelas y Secantes
|
|
Euclides
nació en Grecia a finales del siglo IV a.C. y estudió en la
Academia fundada por Platón.
Aunque se le conoce más por su obra
"Elementos", donde expone brillantemente la Matemática que hasta
aquel momento habían desarrollado los griegos, escribió sobre
diversos temas, como música y óptica. También escribió una obra
titulada "Sofismas", cuyo fin era ejercitar la inteligencia.
Cuenta la
historia que el rey Ptolomeo preguntó a Euclides, al constatar
lo voluminosa que era su obra "Elementos", si no había un camino
más corto para estudiar y dominar la Geometría. Euclides le
respondió: "En Geometría no existe un camino especial para los
reyes". |
|
Muchas teorías matemáticas interesantes han surgido de la
reflexión profunda en busca de una solución para ciertos
problemas que plantea la vida cotidiana. Otras, sin embargo, han
sido el fruto de la curiosidad extraordinaria de algunos
matemáticos, y su deseo de descubrir leyes inquebrantables que
gobiernen el comportamiento de los objetos matemáticos.
|
|
Por ejemplo,
la Geometría fue estudiada por los egipcios para
resolver cuestiones de agricultura. El río Nilo tenía
períodos de grandes crecidas que dejaban bajo sus aguas
grandes extensiones de tierra cultivable.
Cuando
descendía el nivel de las aguas, en estas tierras
ubicadas en los márgenes del río se habían borrado los
linderos de las parcelas, y le correspondía a los
funcionarios del gobierno colocar de nuevo los límites
para evitar conflictos entre los agricultores.
|
|
La Geometría fue una
herramienta útil en estas actividades, y entre los
egipcios se desarrolló con fines muy prácticos. Para los
griegos, por otra parte, las Matemáticas y en particular
la Geometría tenían un carácter casi filosófico. A
través de su estudio, se pretendía encontrar verdades
absolutas en ese mundo de las ideas y de las figuras
geométricas. El interés por resolver problemas prácticos
no era el que impulsaba el desarrollo de la Matemática.
|
|
|
En ese espíritu de curiosidad por las relaciones entre
los elementos de las figuras geométricas, se construyó
la Geometría en la Grecia antigua y Euclides recogió
todo ese conocimiento en su gran obra, "Elementos".
|
|
Rectas Paralelas y
Secantes.
Cuando dos o más personas se disponen a jugar algún
juego de mesa interesante y alguno de los jugadores
desconoce por completo el juego, lo primero que deben
hacer los conocedores es explicarle con cuidado cómo se
juega: se nombran los objetos que se utilizan y se
determina cómo se deben utilizar. Todas las reglas del
juego deben quedar bien claras desde el comienzo, y es
probable que el principiante necesite ayuda para
recordar las reglas en los primeros momentos del juego.
Llega el momento, luego, en que la práctica le permite
jugar con mucha libertad, respetando las reglas que ya
conoce a la perfección.
|
| |
|
|
Así puede suceder con
la Geometría. Estudiarla equivale a conocer los objetos de los cuales se
ocupa (rectas, puntos, ángulos, circunferencias, etc.) y a descubrir
poco a poco las reglas del juego que explican cómo se "comportan" esos
objetos.
|
|
Nuevas reglas del juego van apareciendo a medida que se domina un nivel
del juego y se dispone el jugador a conocer etapas más avanzadas del
mismo. Por eso, se trata de un juego
que nunca aburre porque siempre habrá nuevas etapas por descubrir, y
nuevos retos que enfrentar. |
Los retos consisten en la resolución de problemas geométricos, tomando
en cuenta todo lo que se sabe acerca de los objetos que forman parte del
problema.
Para comenzar con los objetos más simples de
la Geometría: rectas y puntos, puede iniciarse el
estudio de estos objetos considerando algunos hechos básicos:
-
1)
Se estudiarán rectas y puntos de un mismo plano.
-
2)
Dadas dos rectas en un mismo plano, hay dos posibilidades:
|
|
|
-
a)
Las dos rectas tienen un punto en común:
en este
caso, se dice que son secantes.
|
-
b)Las dos rectas no tienen ningún
punto en común, aunque se prolonguen indefinidamente en ambas
direcciones
-
en este caso, se dice que
son paralelas.
|
|
|
|
Por ahora, se estudiarán los ángulos que
se forman entre dos rectas secantes, y cuyo vértice es el punto de
corte:
Se observa en la figura de la izquierda que hay cuatro
ángulos con vértice en el punto
. |
|
Es importante recordar lo que es un ángulo llano: es el
ángulo formado por dos rayos o semirrectas que pertenecen a una misma
recta, y mide
.
|
|
|
Como se ve en la figura de
la izquierda,
y
.
|
|
Simplemente porque
y
son rectas. En este caso, se dice que
y
son adyacentes, como también lo son
y
.
Ahora se puede presentar la primera oportunidad de enfrentar un reto de
la Geometría, asociado a las rectas secantes y los ángulos que forman.
¿Será cierto que
y que
? Si se quiere "jugar" correctamente el juego de la Geometría, no basta
con responder "sí" o "no". Hay que explicar por qué.
Tomando en cuenta
la información anterior:
-
- se tiene que
-
por lo tanto
, y esto quiere decir que
.
Hemos concluido que
.
-
-
|
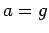
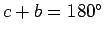
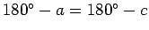
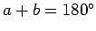
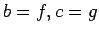
Ahora demostremos que b
= d :
Sabemos que d+a = 180 grados y b +
a = 180 grados porque m y
l so rectas.
Por lo tanto a = 180 grados - d y
a = 180 grados - b
es decir,
180 grados - b = 180 grados - d
y así queda demostrado que b = d .
|
|
Los ángulos
y
se llaman "opuestos por el vértice", así como
y
.
Se acaba de deducir una "regla" importante del juego con rectas
secantes en un plano: los ángulos opuestos por el vértice son
congruentes, es decir, tienen la misma medida. |
Si un ángulo formado entre dos rectas secantes es recto (es decir, mide
), se dice que las rectas son perpendiculares |
A continuación mostraremos que si un ángulo
entre dos rectas secantes es recto, también lo son los otros 3 ángulos
que se forman:
|
Observa la figura:
Sabemos que a = c
por ser opuestos por el vértice. Como a =
90 grados, c = 90 grados,
c+d = 180 grados, por ser c y
d adyacentes.
Es decir,
90 grados + d = 180 grados
d = 180 grados - 90 grados
d = 90 grados
como d = b por ser opuestos por el
vértice, resulta que b = 90 grados.
|
|
|
Ahora se puede avanzar un
poco y considerar las posiciones relativas de tres rectas en el plano.
Hay cuatro posibilidades: |
1)
Las tres rectas son paralelas:
|
|
|
|
2) Dos rectas son paralelas y una es
secante:
|
-
|
|
3)
Las tres rectas son secantes, dos a dos, y hay tres puntos distintos de
corte: |
|
|
| |
| |
| |
4) Las tres rectas se cortan en un solo
punto: |
|
|
- Las opciones 2 y 3 generan
situaciones llenas de propiedades nuevas e interesantes.
Los triángulos, que surgen de las figuras del tipo 3) se estudiarán
más adelante.
En lo que sigue, se explorarán las propiedades de los ángulos que se
generan en las figuras del tipo 2).
Para hablar con precisión, hay que comenzar por darle nombres a los
ángulos que se forman:
|
|
Los ángulos
y
son opuestos por el vértice, como ya se ha dicho. También lo son
y
.
|
|
Los ángulos
y
se dice que son correspondientes.
También lo son
y
,
y
,
y
.
|
|
Una propiedad importante
de los ángulos que se forman entre dos rectas paralelas, es la
siguiente:
Los ángulos correspondientes son congruentes.
Si se hiciera una traslación del punto
al punto
en el siguiente dibujo, como las rectas horizontales son paralelas,
se ve que el ángulo
coincidiría con el ángulo
.
|
Así también se puede ver que
y
.
Por otra parte, se sabe que los ángulos opuestos por el vértice son
congruentes, y así, se tiene:
|
|
|
|
De todas estas igualdades, se pueden deducir
otras más:
Como
por ser opuestos por el vértice y
por ser correspondientes, se tiene que
.
Los ángulos
y
se dice que son alternos externos.
|
También lo son
y
: como
, por ser opuestos por el vértice y
por ser correspondientes, se tiene que
. |
|
Los ángulos
y
son alternos internos, tal como lo son
y
.
|
|
Ahora demostraremos , de manera análoga a la
que se acaba de usar para ver que los ángulos alternos externos son
congruentes, la siguiente propiedad: Los ángulos alternos internos
son congruentes. |
|
Hay que ver que c = e
y que d = f. Como c = a
por ser opuestos por el vértice, y a = e
por ser ángulos correspondientes, se obtiene que c =
e.
Por otra parte, como d = b por ser opuestos
por el vértice y b = f por ser ángulos
correspondientes, se obtiene que d = f .
|
|
Consideraremos ahora el siguiente pralelogramo:
(los lados son paralelos,
dos a dos).
Usando las propiedades estudiadas antes,
demostraremos que:
- i) b = d
-
- ii) a = c
- iii) a + b = 180 grados
- vi) a + b + c + d = 360 grados
|
Se prolongan los lados del
paralelogramo como se muestra en la figura:
Se puede ver que las dos
rectas horizontales son paralelas (por tratarse de un
paralelogramo) y los ángulos
y
son correspondientes:
Como
y
, entonces
. Así, queda demostrada la parte iii).
Por otra parte, las dos rectas no
horizontales son paralelas, y por lo tanto, entre los
ángulos que ellas forman con la horizontal de abajo, están
y
,
que son alternos internos, por lo tanto
, con lo que se demuestra la parte i), porque

Para demostrar las partes ii) y iv), se
observa que los ángulos
y
son correspondientes:
Por lo tanto,
. como
entonces
y como
, se obtiene que
, y así queda demostrada la parte iv).
Además
y
son alternos internos y por eso
; como
, se obtiene que
, y queda demostrada la parte ii).
|
|
WWW.PROYECTOSALONHOGAR.COM
Bibliografía:
García, V., Villaseñor, R., Waldegg, G.
Matemáticas en contexto - segundo curso.
México: Grupo Editorial Iberoamérica.
|