El concepto de derivada fue desarrollado por Leibniz y Newton. Leibniz fue el primero en publicar la teoría, pero parece ser que Newton tenía papeles escritos (sin publicar) anteriores a Leibniz. Debido a la rivalidad entre Alemania e Inglaterra, esto produjo grandes disputas entre los científicos proclives a uno y otro pais.
Newton llegó al concepto de derivada estudiando las tangentes y Leibniz estudiando la velocidad de un móvil.
El concepto de derivada es muy facil de comprender. Dada una función y = f(x), la derivada mide la variación de y, cuando hay una pequeña variación de x.
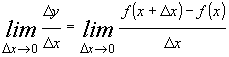
La definición de la derivada de la función y=f(x), es:

Por lo tanto, para que exista la derivada de una función en un punto, tiene que existir ese límite. Cuando no existe este límite, se dice que la función no es derivable en ese punto.
Para representar la derivada de una función se utilizan los símbolos:
Es muy importante darse cuenta que es un símbolo y no una fracción. Esta notación de la derivada, se llama notación de Leibniz.
El símbolo f´(x), para las derivadas, fue introducido por Lagrange en 1797 en Théorie des fonctions analytiques.
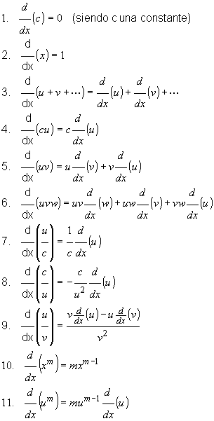
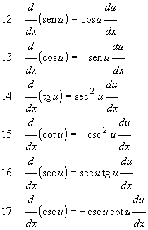
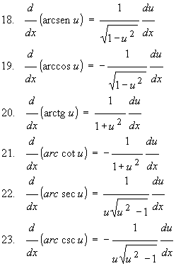
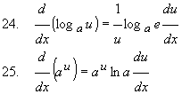
Fórmulas de derivación





Derivada de una función implicita
A veces nos piden que calculémos la de una función en la forma f(x,y) = 0. En este caso, podemos utilizar uno de los siguientes métodos:
a) Despejar y en función de x y derivar. No se debe utilizar este método, salvo que la ecuación resultante sea muy sencilla.
b) Derivar la ecuación con respecto a x, teniendo en cuenta que y es función de x, y despejar y'.
Derivada de una función inversa
A veces nos piden que calculémos la de la función x = f(y). En este caso, podemos utilizar uno de los siguientes métodos:
a) Despejar y en función de x y derivar.
b) Utilizar esta fórmula: 
Derivada de una función de función
A veces nos piden que calculémos la de la función y = f(u), siendo u = g(x). En este caso podemos utilizar uno de los siguientes métodos:
a) Despejar y en función de x y derivar.
b) Utilizar esta fórmula: ![]()
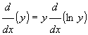
Derivada logarítmica
A veces nos piden que derivemos una función muy complicada. Si esta función se puede descomponer en un producto de factores, podemos calcular la derivada aplicando la siguiente fórmula:
![]()