La integración es el proceso inverso a la derivación. Esto quiere decir:
Sea y = f(x) una función. Sea y' = g(x) la derivada de y = f(x). Si calculamos la integral de la función g(x), obtendremos como resultado f(x).
Sin embargo, esta definición de integral es poco 'enrrollada' (esto quiere decir que nos hemos quedado como estábamos). Se comprende mejor el concepto de integral sabiendo que surgió (fue descubierto por Leibnitz y Newton) para resolver problemas de medidas (medir longitudes de curvas, superficies, volúmenes).
La integración es una suma (el signo de integral surgió como deformación del signo sumatorio).
Supongamos que nos piden que calculemos la superficie limitada entre la curva de ecuación y = f(x), el eje x y las rectas x = 3 y x = 5. Si descomponemos esa superficie en rectángulos de base en el eje x y altura y, podemos aproximar el área por la suma de las áreas de los rectángulos. Si hacemos los rectángulos muy estrechos (de anchura dx) el área sería la suma de las áreas de esos rectángulos, o sea f(x).dx (dx sería la base y f(x) es la altura del rectángulo en el punto x).
Dice mi padre que derivar es fácil pero aburrido y que integrar es difícil pero divertido.
Métodos de integración
En el apartado siguiente podeis encontrar un montón de fórmulas de integración. Es probable que la integral que tengas que resolver esté en una de esas fórmulas, pero si utilizas las fórmulas no aprenderás a integrar.
Sólo debes saber las integrales mas elementales (las que se derivan directamente de las fórmulas de las derivadas equivalentes), las demás se obtienen aplicando métodos muy variados.
No hay otra forma de aprender las integrales que haciendo muchas (mi padre dice que hay que hacer más de mil) . Es imprescindible un buen libro de cálculo (mejor varios).
Método de cambio de variable: Es el método más frecuente. Consiste en hacer una expresión (elegirla es lo difícil) igual a una nueva variable (por ejemplo t), calcular la derivada de esta nueva variable y sustituir estos datos en la expresión que queremos integrar. En muchas ocasiones la integral que se obtiene es más sencilla que la original y asi podemos integrarla.
Evidentemente despues tenemos que deshacer el cambio de variable.
Trucos para elegir el cambio de variable:
Observa la expresión que tienes que integrar con detenimiento. Este es el mejor consejo.
Si ves que la expresión se puede descomponer en dos partes y una de ellas es la derivada de la otra, iguala esta última expresión a t, a continuación deriva esta expresión y sustituyes todo en la integral.
Si la expresión a integrar tiene una raiz cuadrada con dos términos (si son cuadrados perfectos es probable que sea el método más adecuado) sumados, dibuja un triángulo rectángulo y pon la raíz en la hipotenusa y en los catetos la raiz cuadrada de cada uno de los sumandos. A continuación llama t a uno de los ángulos agudos del triángulo y utiliza las relaciones trigonométricas (seno, coseno y tangente) para hacer las sustituciones.
Si la expresión a integrar tiene una raiz cuadrada con dos términos (si son cuadrados perfectos es probable que sea el método más adecuado) restados, dibuja un triángulo rectángulo y pon la raíz cuadrada del término positivo en la hipotenusa y en los catetos la raiz cuadrada de cada uno de los sumandos. A continuación llama t a uno de los ángulos agudos del triángulo y utiliza las relaciones trigonométricas (seno, coseno y tangente) para hacer las sustituciones.
Si la integral es trigonométrica tened en cuenta las siguientes identidades:
sen2x + cos2x = 1
1 + tag2x = sec2x
1 + cot2x = csc2x
sen2x = 1/2(1 - cos2x)
cos2x = 1/2(1 + cos2x)
sexcosx = 1/2sen2x
sexcosy = 1/2[sen(x - y) + sen(x + y)]
sexseny = 1/2[cos(x - y) - cos(x + y)]
cosxcosy = 1/2[cos(x - y) + cos(x + y)]
1 - cosx = 2sen21/2x
1 + cosx = 2cos21/2x
1 + sen x = 1 + cos(1/2p - x)
1 - sen x = 1 - cos(1/2p - x)
Método de integración por partes:
La fórmula de la derivada de un producto de funciones u y v es: d(u.v) = u.dv + v.du
Si integramos esta ecuación nos queda:
u.v = ò u.dv + ò v.du
ò u.dv = uv - ò v.duSupongamos que tenemos que integrar una expresión y hacemos una parte de la expresion igual a u y la otra parte igual a dv. Si podemos calcular du, v y
ò v.du, tendremos resuelta la integral.Método de las fracciones simples:
Aplicar este método si no han funcionado los otros dos.
Si tenemos que integrar una fracción de polinomios, y el grado del polinomio del numerador es menor que el grado del polinomio del denominador, descomponed el polinomio en factores.
Se pueden dar los siguientes casos:
Todos los factores son distintos y de la forma
ax + bLos factores son de la forma
ax + b pero hay algunos factores iguales.Todos los factores son distintos y de la forma
ax2 + bx + cLos factores son de la forma
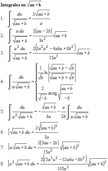
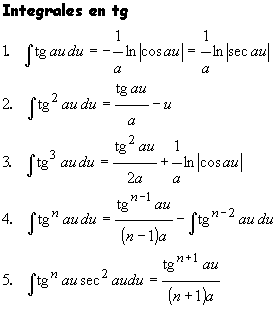
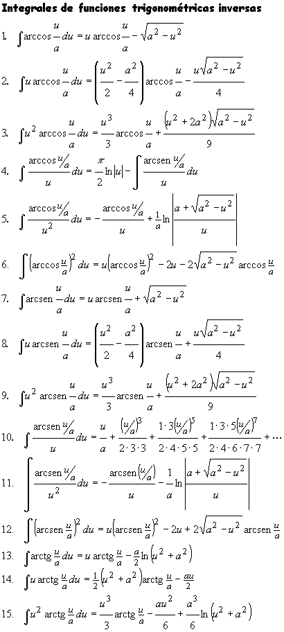
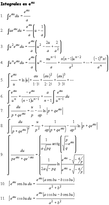
ax2 + bx + c pero hay algunos factores iguales.Fórmulas de integración
Estas fórmulas estan recogidas del libro Cálculo de una variable. Autores: Gerald L. Bradley y Karl J. Smith. Editorial: Prentice Hall.














