Los números triángulares (3, 6, 10, 15, ...) son enteros del tipo N = 1 + 2 + 3 + ... + n
Los números cuadrados (4, 9, 16, 25, ...) son enteros del tipo N = 1 + 3 + 5 + 7 + ... + (2n-1)
Los números pentagonales (5, 12, 22, ...) son enteros del tipo N = 1 + 4 + 7 + ... +(3n-2)
Los números hexagonales (6, 15, 28, ...) son enteros del tipo N = 1 + 5 + 9 + ... + (4n-3)
Y así sucesivamente.
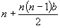
En general, los números poligonales son enteros del tipo
.
Cuando b=1 se dice que es un número triangular, para b=2 cuadrados, para b=3 pentagonales.
Según Fermat, todo número entero puede expresarse mediante la suma de n números n-gonales como máximo. Gauss demostró esta conjetura para los números triangulares y cuadrados, Cauchy consiguió dar una demostración general.
