Número p

Si dividimos la longitud de cualquier circunferencia entre su diámetro siempre obtenemos como resultado el mismo número. Este número lo conocemos ahora por el símbolo p. La utilización del símbolo p para representar este número se debe a Wiliam Jones y a Euler.

Este número aparece en todas las fórmulas de líneas o cuerpos curvos y en los sitios mas inesperados, por ejemplo en estadística (¿sabías que la probabilidad de que una barra de longitud k < 1, que cae sobre una superficie en la que hemos dibujado rectas paralelas separadas una distancia de 1, caiga atravesando una de esas rectas es 2k/p ? ¿Sabías que la probabilidad de que dos números naturales (escogidos al azar) no tengan divisores comunes es 6/p2 ?)

El primer cálculo teórico del número p lo hizo Arquímedes de Siracusa (dedujo que 223/71 < p < 22/7 basándose en que la longitud de la circunferencia tenia que estar comprendía entre el perímetro de un polígono regular que circunscribiese y otro que estuviese inscrito en la circunferencia). El problema de este método es que converge muy lentamente a p.

El siguiente cálculo se debe a Wallis (1665) que estableció la siguiente fórmula:

En 1671 Gregory dedujo la siguiente fórmula:

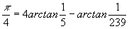
En 1706 John Machin obtuvo esta fórmula: . Con esta fórmula se calcularon las primeras 100 cifras del número p. Esta fórmula y alguna variante se utilizó hasta tiempos recientes para dicho cálculo.

En 1914 Ramanujan dedujo esta fórmula:

Sin embargo, para el cálculo real de centenares de millones de dígitos de p fue preciso redescubrir una fórmula de Gauss que permite duplicar el número de dígitos en cada iteración.

Volver a página principal.