Problemas resueltos de Combinatoria

Problema 1:

¿Cuántas apuestas diferentes de la lotería primitiva se pueden hacer?

Así lo hace mi profesor:

Se trata de combinaciones porque no se pueden repetir los elementos (los número desde el 1 al 49) y no importa el orden en que se pongan los números.

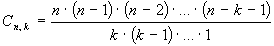
El problema de utilizar las fórmulas es saber cual utilizar.

Así lo hace mi padre:

En una bolsa tenemos 49 bolas numeradas del 1 al 49. El primer número lo escojo entre 49 posibles números, el segundo número lo escojo entre 48 (pues las bolas, una vez extraídas no se devuelven a la bolsa), el tercero entre 47, y así sucesivamente, por lo tanto, en principio habría 49*48*47*46*45*44= 10.068.347.520.

Esta sería la solución si el orden de extracción de las bolas, se tuviese en cuenta, pero no es así. El número que hemos sacado en la primera extracción podría haber salido en la segunda, tercera, cuarta, quinta o sexta extracción (en total 6), por lo tanto habrá que dividir por 6. El número que hemos sacado en la segunda extracción, podría haber salido en la tercera, cuarta, quinta o sexta extracción, (en total 5), habrá que dividir entre 5 y así seguiríamos razonando hasta la ultima extracción.

Por ello habrá que dividir por 6*5*4*3*2*1 el número anterior para obtener la solución.

10.068.347.520/720=13.983.816

Problema 2:

¿Cuántas quinielas distintas se pueden hacer?

Así lo hace mi profesor:

Se trata de variaciones con repetición porque los elementos se pueden repetir (se pueden coger tantos 1X2 como necesitemos) y el orden en que se sitúen los elementos importa.

VRn,k = nk = 315 = 14348907

Así lo hace mi padre:

El primer resultado lo podemos elegir entre 3 signos, el segundo entre 3, y así sucesivamente hasta el 15, por lo tanto el número total de columnas será: 3.3.3.3.3.3.3.3.3.3.3.3.3.3.3 = 14348907.

Problema 3:

¿Cuántas quinielas distintas se pueden hacer si creemos que el resultado de 4 partidos será un 1, el de 5 partidos puede ser un 1 o una x, y los 6 partidos restantes puede darse cualquiera de los tres signos?

Así lo hace mi padre:

Los cuatro resultados 'fijos' los podemos elegir entre un signo, los 5 'dobles' entre dos y los 6 'triples' entre 3, por lo tanto la solución sería: 1.1.1.1.2.2.2.2.2.3.3.3.3.3.3=23328

Volver a página principal.