Problemas resueltos de Logaritmos

Fecha de primera versión: 26-04-98

Fecha de última actualización: 26-04-98

Problema 1:

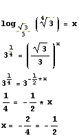
Problema 2:

 

Volver a página principal.