![]()

log(x + 4) = 1 - log(x - 5)
log(x + 4) = log 10 - log(x - 5) = log (10/(x - 5))
x + 4 = 10/(x - 5)
x2 - x - 30 = 0
x = 6
x = - 5 (esta solución, no es válida).
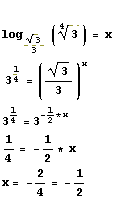
Calcular el valor de log2 64
Como 64 = 26
log2 64 = log2 26
Aplicando la definición de logaritmo (logaritmo de un número a es otro número b al que tenemos que elevar la base para obtener el número a), la solución es 6.