Mate.0010 Destrezas Básicas de Matemáticas Prof. Nilsa Toro
Repaso para el Examen Final
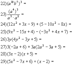
Resuelve los siguientes ejercicios. Simplifica las respuestas donde sea necesario.

6)Redondea 213.874 a la décima.
7)(2.06)(3.6) =
Ilustra cómo se coloca el punto decimal en el resultado.
![]()
Ilustra cómo se rueda el punto decimal.
9) La factorización prima de 48 es ___________________________.
10)Simplifica la fracción
.
![]()
13)Evalúa la expresión 2x2 - 2y, si x = 1 y y = -1.
14)¿Es x = -2 solución de la ecuación 3x + 8 = 14?
15)Halla el valor de x en 5x - 2 = 9 + 4x.
16)Halla el valor de x en 5(x - 3) + 7 = 7x - 2.
17)Dos veces un número más 6 es igual a 18. ¿Cuál es el número?
18)El largo de un rectángulo es 5 pulgadas más que su ancho. Halla las dimensiones del rectángulo si su perímetro es 22 pulgadas.
19)Halla el área de un círculo si su radio mide 1.2 centímetros.
20)¿Cuál es el área de un rectángulo si su largo mide 8 centímetros y su ancho mide 5 centímetros?
21)Simplifica 3x + 6 + 4y + 2x - 4y - 8.

Factoriza completamente los siguientes polinomios:

Considera la siguiente ecuación en dos variables: 5x + y = 10.
36)¿Es el punto (1,6) solución de la ecuación?
37)Halla el intercepto en x y el intercepto en y.
38)¿Cuál es la pendiente definida en la ecuación?
39)¿Cómo es la recta: ascendente, descendente, vertical o horizontal?
40)Dibuja la gráfica de la ecuación dada.
Resuelve las siguientes inecuaciones y representa la solución gráficamente:
![]()
Respuestas:


36)No.
37)Intercepto en x: (2,0): Intercepto en y: (0,10)
38)La pendiente es -5.
39)La recta es descendente.
40)Gráfica

![]()