Proyecto Salón Hogar

Numeros complejos

Introducción:


 
 Número complejo:

 
 Operaciones aritméticas en los números complejos:
 Ecuaciones con números complejos:
 
 Forma polar de un número complejo:

 
 Ejercicios resueltos
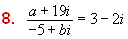
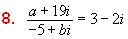
En los ejercicios 1 a 7 efectúe las operaciones indicadas.

 

 
 
S o l u c i o n e s

 
 

 
 

WWW.PROYECTOSALONHOGAR.COM