MATEMÁTICAS INTEGRADAS 1

 

MODULO 3 LECCION 4

FACTORIZACION DE POLINOMIOS


 

 

 

 

 

 

 

 

 

 

 

 

 

Definición:

Práctica dirigida:

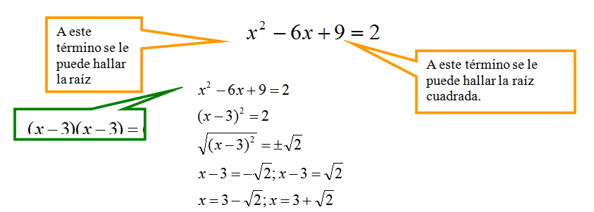
Observa la siguiente factorización de un trinomio el cual tiene términos a los que se le puede hallar la raíz cuadrada en ambos extremos.

 

 

 

© Derechos Reservados

Escuela Virtual de Puerto Rico


Nota:

Esta propuesta es propiedad intelectual de la Escuela Virtual de Puerto Rico. Divulgar o compartir su contenido sin autorización entra en violación de la seguridad recíproca requerida. Se tomarán las acciones necesarias para asegurar que su uso sea sólo para beneficio de la matrícula del Proyecto.