MATEMÁTICAS INTEGRADAS 1

 

MODULO 4 LECCIÓN 5

FUNCIÓN RADICAL


 

DEFINICIÓN

Práctica:

Lee cada una de las siguientes premisas y selecciona la mejor contestación:

 

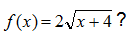
1)    ¿Cuál de las siguientes es una coordenada de la gráfica

(a) (4, 0)                 (b) (-4, 0)                (c) (2, -3)                (d) (6, 5)

 

2)    ¿Cuál de las siguientes es una coordenada de la gráfica

(a) (0, 5)                 (b) (2, 9)                 (c) (6, 1)                 (d) (2.8, 15)

 

3)    ¿Qué valor completa la coordenada (-4,  ) en la ecuación

(a) -1                      (b) 4                       (c) 0                       (d) 2

 

 

© Derechos Reservados

Escuela Virtual de Puerto Rico


Nota:

Esta propuesta es propiedad intelectual de la Escuela Virtual de Puerto Rico. Divulgar o compartir su contenido sin autorización entra en violación de la seguridad recíproca requerida. Se tomarán las acciones necesarias para asegurar que su uso sea sólo para beneficio de la matrícula del Proyecto.