MATEMÁTICAS INTEGRADAS 3

Elementos de Funciones

Módulo 1

GRADO 12


 

 

Elementos de Funciones

 

Una función es una correspondencia entre conjuntos que se produce cuando cada uno de los elementos del primer conjunto se halla relacionado con un solo elemento del segundo.  Podemos imaginarnos la función como una máquina a la que se le suministra unos datos y que obtiene un valor.   A veces esta 'máquina' no funciona con determinados valores. Al conjunto de valores de la variable para los que la función existe (para los que la 'máquina' funciona) se llama dominio de definición de la función. El conjunto de valores que se obtienen a partir del conjunto de valores del dominio de definición se llama recorrido de la función.

 

Una función consiste en dos conjuntos, dominio y rango y la regla  que asigna   a cada miembro  del dominio exactamente un miembro del rango.  A cada miembro del rango debe  serle  asignado  por lo menos un miembro del dominio. Si la relación entre dos variables x y y es una en la que para cada valor de y hay exactamente un valor de x, se dice que y es una función de x.

 

 

 

 

 

Ejemplo:   El dominio D es {2, 4, 6} y el rango R es {15, 29, 43

y = 7x + 1 y = 7(2) + 1 = 15 y = 7(4) + 1 = 29 y = 7(6) + 1 = 43 

¿Cuál es el grado de cada función?

 

f(x) = 2x -  Grado 1

 

g(x) = x2 + x + 1  -  Grado 2

 

h(x) = x3 + x2 + x + 1  - Grado 3

 

 

Operaciones con funciones-  Las operaciones de suma, resta, multiplicación y división entre funciones son posibles y semejantes a las correspondientes efectuadas con los números.

 

Reconocer una suma, producto, cociente o composición de funciones es útil porque permite descomponer funciones complicadas en otras más sencillas.

 

Suma de funciones -  Si f(x) y g(x) son dos funciones, entonces la suma de funciones está dada por:

 ( f + g ) ( x ) = f (x) + g (x)

 

 

Ejemplo:   Para sumar las funciones se puede proceder de la siguiente manera:

 

Se ordenan los polinomios en forma decreciente con relación al exponente de la variable.

 

Se colocan las funciones  una debajo de la otra, de tal forma que los términos semejantes

 

 

Ejemplo-

 

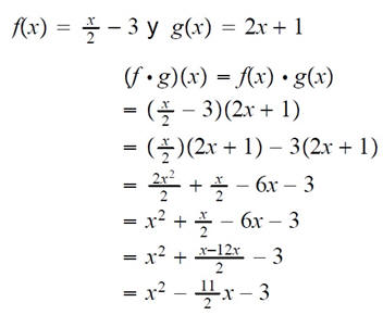
Multiplicación de funciones:

Si f(x) y g(x) son dos funciones, entonces la función producto esta dada por ( f g ) ( x ) = f (x) g (x)

 

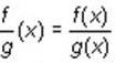
División de funciones-  Si f(x) y g(x) son dos funciones, entonces la función cociente esta dada por

 

 

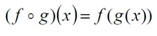
Composición de funciones

Dadas las funciones f y g, la composición de f y g, se define por:

donde g(x) es el dominio de f. La composición de g y f se define por:

 

Ejemplo:

 

 

 

 

 

Funciones Inversas- En ocasiones se puede invertir la relación entre dos conjuntos produciendo una nueva función.  Siempre que se tiene una función uno uno, se puede definir una nueva función: la función inversa.  Si f es una función uno – uno, entonces la función inversa de f se denota por

 

 

Ejemplo:

 

 

Ejemplo:

 

Cómo hallar la inversa de una función, si existe  (recuerda que no todas las funciones tienen inversa).

Pasos:

 

  1. ver si f es 1-1
  2. escribe la función en términos de y  (la variable dependiente)
  3. haz un intercambio de variables ( sustituye las y por las x y viceversa; las salidas de  f son las entradas de ).
  4. despeja para la nueva variable dependiente ( para y )

escribe usando la notación de función inversa,  (x).

 

 

Ejemplo:

 

Ejemplo:  Hallar la inversa de f(x) = 2x.  La función f es 1-1  Escribe la función en términos de y y = 2x.   Haz un cambio de variables x = 2y   Despeja para la variable dependiente (divide por 2)

 

 

 

 

Traslaciones de Funciones-Las diferentes funciones pueden experimentar distintos tipos de cambios. Entre ellos podemos mencionar las traslaciones de tipo horizontal y vertical, así como las reflexiones. A continuación veremos algunas reglas y ejemplos que nos ayudarán a comprender y visualizar esta particularidad.

 

Reglas relativas a las traslaciones horizontales y verticales-Sea c un número real positivo. Se representan las traslaciones horizontales y verticales de las siguientes formas:

 

v  Traslación vertical c\k unidades hacia arriba

o   H(x) = f(x) + k

 

v  Traslación vertical k unidades hacia abajo

o   H(x) = f(x) k

 

La gráfica se traslada verticalmente k unidades, si k es positivo hacia arriba y si k es negativo hacia abajo.

 

 

 

v  Traslación horizontal k unidades a la derecha

o   H(x) = f(xk)

 

v  Traslación horizontal k unidades a la izquierda

o   H(x) = f(x+k)

 

La gráfica se traslada horizontalmente k unidades hacia la izquierda si k es positivo y k unidades a la derecha si k es negativo.

 

 

 

Nota que la cantidad de unidades que se traslada a la derecha es la misma que se le resta a la variable de la función.   Nota que la cantidad de unidades trasladada a la izquierda es la misma que se le suma a la variable de la función original.

 

 

Reflexiones

El otro tipo de transformación  que se da en las funciones es la reflexión.  Esta reflexión  se da alrededor de los ejes de x  ó  y.    Nota: Pueden ocurrir traslaciones y  reflexiones a la misma vez.

 

 

 

 

La Gráfica de una Función

 

Para hacer la gráfica de una función como f(x) =x+ 2, lo hacemos igual que si hiciéramos la gráfica de una ecuación y= x+ 2.

 

Buscamos los pares ordenados (x, f(x)), se localizan los puntos en el Plano Cartesiano. Una gráfica determina un conjunto de pares ordenados con números reales correspondientes a las coordenadas de los puntos en la gráfica. Este conjunto de pares ordenados, determinados por la gráfica, puede o no puede definir una función. Es importante recordar que para definir una función, el conjunto de pares ordenados debe obedecer la regla que establece que dos pares ordenados no deben tener el mismo primer elemento. Por lo tanto, una línea vertical no puede intersecar la gráfica de una función en mas de un punto.

 

 

 

 

¿Qué es una función cuadrática?

Una función cuadrática es aquella que puede escribirse de la forma:

 

f(x) = x²

 

donde x es número real cualesquiera y distinto de cero. Si representamos "todos" los puntos  (x,f(x)) de una función cuadrática,  obtenemos siempre una curva llamada  parábola.

 

 

 

 

Características de la función cuadrática

 

f(x)=ax²+bx+c

 

Eje de simetría, la recta

 

v  Abre hacia arriba si a>0.     Abre hacia abajo si a<0.

 

 

 

 

 

Ceros de una función

Los ceros de una función f(x), son aquellos valores de x para los cuales f(x) = 0

 

Definición: Los Ceros de una Función

Un cero de una función es la solución de una ecuación  f(x) = 0.  Los ceros de una función corresponde a los puntos en los cuales la gráfica de la función atraviesa el eje de x.

 

 

 

 

 

 

 

 

¿Cómo encontrar los ceros de una función?

1.Es la solución de f(x) = 0

2.Se le llama también raíces de la función o interceptos en x.

 

¿Cómo calcular los ceros de la función?

 

1.El grado del polinomio determina el máximo de ceros de la función.

2.Iguala la función a cero, f(x) = 0.

3.Despeja la variable. Siempre es favorable tratar de factorizar la función o utilizar la fórmula cuadrática de ser posible.

4.Puedes escribir la solución (si existe) usando pares ordenados. Siempre usarás este formato:

 

            (x,0)

 

Ejemplos:


Calcula los ceros de la función

 

Ejemplo:

Encontrar los ceros de la función cuadrática f viene dada por

f (x) = -2 x 2 - 5 x + 7

Resolver f (x) = 0 f(x) = -2 x 2 - 5 x + 7 = 0
       = -2 x 2 - 6 x + 8
       = (-2x - 7)(x - 1) = 0 

       = (-2x - 7) (x - 1) = 0


 y resolver para x


x = -7 / 2 and x = 1 x = -7 / 2 y x 1 =   Interceptos en x (-1,0)  y  (-3,0)

 

Intercepto en Y

 

El Intercepto en Y es el lugar donde  la gráfica toca o cruza  el eje de y.    Este intercepto siempre tendrá este   formato (0, c) . Se consigue  cuando la x =0

 

El intercepto en y es la coordenada y del punto donde la recta corta el eje de x.  Como todos los puntos en el eje de y tienen su coordenada x igual a 0, podemos encontrar el intercepto en y si hacemos x = 0.  Si la coordenada y es igual a b, entonces el par ordenado (0,b) es un intercepto en y.

 

Comportamiento de las Gráficas

Las gráficas de muchas funciones son transformaciones de gráficas muy básicas.   Sea c un número positivo real y una función f(x) cualesquiera. La función trasladada se describe como:

1.  c unidades de traslación hacia arriba,  h(x) = f(x) + c

2.  c unidades de traslación hacia abajo,  h(x) = f(x) - c

3.  c unidades hacia la izquierda,  h(x) = f(x + c)

4.  c unidades a la derecha,  h(x) = f(x - c)

 

 

Ejemplo

La gráfica de y= x^2+ 3 .   Es la gráfica de y=x^2 que se ha movido tres unidades verticalmente. Esto se conoce como desplazamiento vertical

 

Valores Máximos o Mínimos

 

1.Son los puntos más altos y más bajos en la gráfica de una función

 

2.La función lineal y la cúbica tienen valores máximos y mínimos infinitos.

3.La función cuadrática tendrá valor máximo o mínimo según su forma.

4.También se le llama vértice.

 

Calcular El Valor Máximo  o Mínimo

 

La ecuación cuadrática debe estar en la forma estándar:

f(x) = ax2 + bx + c

 

Calcula el eje de simetría y sustituye ese valor en la función dada. El valor obtenido forma parte del par ordenado que corresponde al valor máximo o mínimo según sea el caso.

 

Ejemplo:  Halla el valor  máximo o mínimo

Ejemplo: Halla el valor  máximo o mínimo

 

f(x) = 3x2 – 5x + 2

            Como la función tiene   a > 0,  la gráfica abre hacia  arriba y tiene un punto

 

 

1- ¿Cuál de las siguientes alternativas corresponde al alcance de la función representada?

A. {A, H, K, R}

B. {A, Z, G, N, H, T}

C. {B, N, Q, T, Z}

D. {B, R, Q, T, Z}

 

2- ¿Cuál de las siguientes alternativas corresponde al dominio de la función representada?

 

Población en edad de votar en Estados Unidos en 2000 (en millones)

A. {Hispanos, 21.3, Nativos, 1.6, Asiáticos 8.2}

B. {21.3, 1.6, 8.2, 24.6, 152.5}

C. {Hispanos, Nativos estadounidenses, estadounidenses asiáticos, Afroamericanos, Blancos}

D. {213, 16, 82, 246, 1525}

 

3. Dadas f(x) = 2x2 + 3x – 5 y   g(x) = 4x2 – 2x + 1 entonces   f(x) + g(x) es:

A. 6x2 – x – 4

B. 6x2 + x + 4

C. 6x2 + 5x + 4

D. 6x2 + x – 4

 

Solución

1-      c

2-      c

3-      b  

4-      a

 

© Derechos Reservados

Escuela Virtual de Educación Acelerada Proyecto Salón Hogar Inc.


Nota:

Esta propuesta es propiedad intelectual de la Escuela Virtual de Educación Acelerada Proyecto Salón Hogar. Divulgar o compartir su contenido sin autorización entra en violación de la seguridad recíproca requerida. Se tomarán las acciones necesarias para asegurar que su uso sea sólo para beneficio de la matrícula del Proyecto.