MATEMÁTICAS INTEGRADAS 4

 

 VECTORES

 

Modulo 3

GRADO 12


 

 

 

VECTORES 

En 1942, Estados Unidos estableció la primera y única unidad de entrenamiento para fotos en Tuskegee, Alabama. Cerca de 600 hombres fueron entrenados en esta unidad durante la Segunda Guerra Mundial. Conocidos como los Hombres del Aire de Tuskegee, estos pilotos se destacaron durante las batallas en Europa. Sus esfuerzos abrieron la puerta para la integración de las fuerzas armadas de Estados Unidos. Además de las destrezas de aviación, a los pilotos del Instituto Tuskegee se les enseñaba a graficar una trayectoria. Aún hoy, los pilotos deben presentar un plan de vuelo a la Agencia Federal de Aviación antes de emprender vuelo. Con frecuencia el piloto planea una trayectoria de viaje que involucra volar a un aeropuerto, reabastecerse de combustible y luego volar a otro aeropuerto.

 

 

 

Una trayectoria como esta puede ser representada por el diagrama. En este caso, la trayectoria muestra que el piloto viaja 200 millas en una dirección  de 22° al noreste y luego viaja 100 millas en una dirección de 65° al noreste. La distancia y la dirección del vuelo se pueden representar por un segmento dirigido llamado vector.

Un vector es cualquier cantidad que tenga tanto magnitud (Longitud) como direcci6n. En este caso, la longitud del segmento representa la distancia cubierta por el avión. Los aviadores utilizan el Angulo que el vector forma con el norte para indicar la dirección. En símbolos, un vector se escribe como

En las matemáticas de nuestros días, un vector es considerado como un conjunto ordenado de cantidades con determinadas reglas para su utilización. El análisis vectorial (es decir, el álgebra, la geometría y el cálculo de cantidades vectoriales) aparece en las matemáticas aplicadas en todos los campos de la ciencia e ingeniería.

Ø  Elementos de un vector, descripción de cada uno.

Ø  El vector esta comprendido por los siguientes elementos:

  • La Dirección: esta determinada por la recta de soporte y puede ser vertical, horizontal e inclinada u oblicua.
  • La orientación: o sentido, esta determinada por la flecha y puede ser horizontal hacia la derecha o hacia la izquierda, vertical hacia arriba o hacia abajo e inclinada ascendente o descendente hacia la derecha o hacia la izquierda.   
  • El punto de aplicación: esta determinado por el punto origen del segmento que forma el vector.
  • La longitud o módulo: es el número positivo que representa la longitud del vector.
  • Representación grafica de un vector. Dado su origen y su extremo.

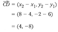
Se  llama componentes de un vector, al punto que tiene como abscisas la diferencia de las abscisas y como ordenada la diferencia de las ordenadas de los puntos que conforman el extremo y el origen, en ese orden.

 

Ejemplo:

Analíticamente: dados los puntos a (3,4)  b (-2,3)  c (-4,-3) y d (1,0).

Gráficamente:   

 

 

Los vectores libres que tienen igual módulo, misma dirección y sentido, son equivalentes. Sus rectas soportes son paralelas o coincidentes.  Dos vectores fijos son equipolentes si tienen el mismo módulo, dirección y sentido. Para comprobarlo, se unen sus orígenes y sus extremos respectivos. Si el polígono resultante es un paralelogramo, los vectores son equipolentes.

 

Ø  Un módulo: El módulo de un vector fijo es la distancia de sus extremos.

Ø  Una dirección: viene dado por la recta sobre la cual está situado el vector, que tiene una pendiente fija.

Ø  Un sentido: viene a indicar un sentido de la recta

 

Ejemplo: en la siguiente figura tenemos seis vectores


Suma y Resta, Multiplicación de Vectores por un escalar

Teniendo en cuenta que los vectores se pueden sumar entre sí y que se pueden multiplicar por números reales, podremos obtener vectores haciendo estas operaciones de suma y multiplicación.

La suma de vectores A y B se obtiene al hacer coincidir el extremo de uno de ellos con el origen del otro; la suma es el vector que va del inicio del primero al extremo del segundo.

Para sumar dos vectores se suman sus respectivas componentes.

Propiedades de la suma de vectores

 

 

 

 

Suma de Vectores Gráficamente

Gráficamente la suma y resta de vectores se puede realizar por el método del paralelogramo, es decir trazar sobre cada vector una recta paralela al otro formando un paralelogramo, cuya diagonal es la suma.

 

Ejemplo:

 

Las velocidades se pueden sumar. Imagine a un aeroplano que vuela a 200 mph (o, si quiere, km/h) con un viento de cola de 40 mph. ¿Con que rapidez cubre la distancia en relación al suelo? Fácil: por cada 200 millas que avanza, el viento lo lleva 40 millas más allá, luego la respuesta es 200 + 40 = 240 millas

Gráficamente, cada tramo en el suelo ó velocidad puede representarse por una flecha con su dirección, y su longitud nos indica la magnitud.  Para sumar las velocidades, se coloca una flecha a continuación de la otra, como se ve en la parte superior de la figura,  y la "suma de flechas" (en la mitad de la figura) lo confirma.

Ahora imagine que la ruta del piloto es hacia el este, pero un viento lateral sopla hacia el nordeste: ¿en que dirección se moverá el aeroplano y con que rapidez? La regla general es que las velocidades combinadas hacen que el aeroplano se desplace en una hora al mismo punto que alcanzaría si se moviera primero con un movimiento y luego con el otro, actuando solos durante una hora. Como se espera, la dirección es alguna entre la dirección este y la norte. Todos los vectores se pueden sumar entre ellos de esta manera, como flechas, uniendo la cabeza de uno a la cola del otro. Existe un método alternativo, con frecuencia más fácil de usar y que se describe a continuación.

 

Resta De Vectores.  

 

Restar el vector B del vector A es equivalente a sumarle el inverso aditivo de B. Para restar vectores se unen en su origen y el vector resta es la unión de sus extremos dibujando el sentido hacia el que se le va a quitar, el paso siguiente es calcular el vector con el mismo procedimiento que en la suma.

Para restar dos vectores libres vectory se suma vectorcon el opuesto de .

Las componentes del vector resta se obtienen restando las componentes de los vectores.

 

Ejemplo

 

Multiplicación de Vectores por un escalar

 

El producto punto de dos vectores se define como el producto de sus magnitudes por el coseno del menor ángulo formado por ellos. En símbolos se representa: 

 

Ejemplo

Dados los siguientes vectores, grafíquelos, compruebe que son paralelos e identifique el valor del escalar.

 

Observe que siempre que los vectores paralelos tienen el mismo origen los vectores son además colineales, sin embargo, la condición de paralelismo se cumple en otras condiciones.

Aplicación: Valor  30 pts.

 

A-  Suma o resta los siguientes vectores

1-   V1 = (1, 4, 2)                    V2 = (0, 2, 1)

2-  V1= (6,2)                           V2= (1,2)

3- V1= (3,7)                            V2= (4,1)

B-- Dado el V1= (3,1)            V2 = (5,8), representa V3 como un par ordenado.

a-         V3= 4V1         b- V3= V1 + V2

 

Solución

A- 1- Suma = (1, 6, 3) Resta= (1, 2, 1)

2- Suma = (7,4)           Resta= (5,0)

3- Suma = (7,6)           Resta = (-1, 8)

B-- A- (20, 32)            b- (8, 9)

 

 

Conjeturas

 

Las conjeturas son juicios que se forman de una cosa por señales o indicios que se tienen de ellas. En matemáticas formulamos en ocasiones enunciados de forma conjetural, es decir, proponemos resultados que nos parecen verdaderos porque se cumplen en muchas ocasiones. Algunas veces los resultados formulados resultan ser ciertos, pero, en otras ocasiones, concluimos que son falsos.

 

Ejemplo: Sigamos los pasos siguientes

a)      Toma dos números, por ejemplo (2 y 3)

b)      Elévalos al cuadrado (4 y  9 respectivamente)

c)      Llama a a la suma de los cuadrados (13)

d)     Llama b a la diferencia (5)

e)      Llama c al doble producto de los números (12)

f)       Se verifica que un triángulo de lados a, b y c es rectángulo, ya que se cumple el teorema de Pitágoras  

 

Conjetura:

¿Es esto independiente de los números que elijamos al principio? Es decir, si en lugar de haber elegido 2 y 3 tomamos 3 y 5 ¿Los nuevos valores de a, b y c así obtenidos forman triángulo rectángulo?

 

 

Ejemplo: Consideremos las siguientes observaciones

a)      Existen números primos consecutivos (gemelos): (3, 5), (17,19), (29,31)...que sólo dejan un número compuesto entre ellos.

b)      Hay sucesiones de tres números compuestos consecutivos 8, 9 y 10 entre los primos 7 y 11,  Igualmente 24, 25, 26, 27 y 28 entre los 23 y 29.

c)      ¿Podríamos encontrar 20 números compuestos consecutivos?

 

Conjetura de A. De Polignac (1817-90): Todo número impar se puede poner como suma de una potencia de dos y un número primo

 

5= 4+1,          7=4+3,             9=4+5,     11=8+3,  13=8+3    15=8+7.....          

101 = 4+97,   101 = 64 +37                                           (127 no lo cumple)

 

Conjetura de Christian Goldbach  (1690-1764) Fue mencionada por primera vez en una carta de Christian Goldbach, profesor de matemática de San Petersburgo y tutor del zar Pedro II de Rusia, a Euler en 1742. La conjetura afirma que cualquier número par y mayor que 2 se puede expresar como suma de dos números primos.

 

4 =3+1,  8= 5+3,  10 =3+7,  18 = 13 +5,  36 =31+5    50 = 3 + 47…

 

Conjetura de Pierre Fermat: No es posible descomponer un cubo en suma de dos cubos, ni una cuarta potencia en suma de dos cuartas potencias, ni en general ninguna potencia de exponente de  exponente mayor que dos en suma de dos potencias del mismo exponente. Equivalentemente, no existen enteros no nulos a, b, c  tales que satisfagan la ecuación  , para cualquier n mayor que 2.

 

Proposiciones 

 

Una proposición o enunciado es una oración que puede ser falso o verdadero pero no ambas a la vez. La proposición es un elemento fundamental de la lógica matemática.   Las proposiciones se indican por medio de una letra minúscula, dos puntos y la proposición propiamente dicha.

 

Ø  Tautología: es la sentencia que es verdadera.

Ø  Contradicción: es la sentencia que es falsa.

Ø  Indeterminación: es la sentencia que ni es verdadera ni falsa.

Aquí surge por primera vez la posibilidad de verdad o falsedad.  Verdad y falsedad surgen únicamente cuando combinamos un objeto simple con otro  (por ejemplo, Un caballo es un animal) o separamos un objeto simple de otro (por ejemplo, Un caballo no es una vaca.

 

Ejemplo: Determina si es una proposición válida


   La tierra es plana.;  proposición   valida

   −17 + 38 = 21;    proposición valida

    x > y-9;    proposición  valida. aunque el valor de falso o verdadero depende del valor asignado a las

    variables x y y en determinado momento.

    Hola ¿cómo estás?;    no  válido- ya que no pueden tomar un valor de falso o verdadero, es un saludo

    Lava el coche por favor;  no  válido- ya que no pueden tomar un valor de falso o verdadero, es una orden

 

La Definición de la Proposición  es una expresión compuesta.  ¿Qué es una expresión compuesta?  Utiliza más de un nombre simple; es un grupo ordenado de palabras.   Es un entero cuyas partes significan algo por separado. Así distinguimos entre expresiones compuestas y expresiones simples (entre árbol y árbol verde.)  Árbol verde es una expresión compuesta, porque cada una de sus partes significa algo por separado.  Sin embargo, no es una proposición.  Hay que distinguir entre expresiones compuestas perfectas y expresiones compuestas imperfectas.

 

Ejemplo

 

 Al elevar un número real x al cuadrado, siempre resulta un número mayor o igual que 

        el número x.

-22 + 22 = 8

 x > y - 9

 

China obtendrá el mayor número de medallas de oro en los juegos olímpicos de  Beijing.

 ¿lloverá mañana?

 ¡Deben resolver las guías antes del práctico…!

 

Las proposiciones sabemos que pueden tomar un valor de verdad falso  (F) o verdadero  (V); p y q por lo tanto son proposiciones y su valor de verdad es F.  

 

Conectivos Lógicos

 

Definición: Los conectivos lógicos son símbolos usados para combinar proposiciones dadas, produciendo así otras llamadas proposiciones compuestas.

Ø  y , conjunción, se denota   ²  Ù  ²    

Ø  o , disyunción, se escribe   ²  Ú  ²     

Ø  no ,   negación, se escribe   ( ~ )    o    ( ~ )

Ø  o excluyente, se  escribe   ² ¯  ²     ( o   bien   v  )

Sí . . . . ,entonces . . . . , condicional o implicación, se  escribe " Þ

 si   y  sólo  si,  doble implicación o bicondicional, se  escribe  ²  Û  ²    

 

Ejemplos.  (Proposiciones simples y compuestas).

 

o    “Chillán está al sur de Santiago”.

Ø  Es  una  proposición simple y además es verdadera.

o    “161 es un número primo”.

Ø  Es una proposición simple y además es falsa.

o    “Si la ley de gravitación es falsa, entonces Newton se  equivocó”

Ø  Es una proposición compuesta, por las proposiciones simples:

             “ La ley de gravitación es falsa”

             “Newton se equivocó”.

Simbólicamente puede escribirse:    s Þ t

 

 

Pruebas

El razonamiento deductivo, también llamado demostración o prueba, es el razonar a partir de hechos demostrados, utilizando pasos lógicamente válidos para llegar a una conclusión. Una demostración puede servir varios propósitos. Los matemáticos a menudo utilizan la demostración para verificar que una conjetura es verdadera para todos los casos, no sólo para aquellos examinados, o para convencer a otros. Las demostraciones a menudo ayudan a responder a la pregunta: ¿Por qué?

 

Toda teoría matemática parte de un conjunto de axiomas o postulados, que son verdades evidentes por sí mismas y no requieren de demostración, las proposiciones siguientes son axiomas:

Ø  “Una cantidad puede reemplazarse por otra igual”

Ø  “Dos cantidades iguales a una tercera son iguales entre sí”

Ø  “Por un punto pasan infinitas rectas”

Ø   “Por un punto fuera de una recta puede trazarse sólo una paralela a ella”, este es el 5° Postulado de Euclides[1] y es la base de la Geometría Euclidiana.

 

Usando axiomas, teoremas y propiedades, se demuestran nuevos teoremas, de esta forma, el razonamiento matemático adquiere el significado de una nueva creación porque llega a consecuencias nuevas. Uno de los rasgos esenciales del pensamiento científico es, precisamente, su afán de demostración.  La Ciencia y el pensamiento científico NO toleran las afirmaciones gratuitas. Una afirmación, cualquiera que ella sea, sólo alcanza rango científico cuando está fundamentada.

 

Prueba  Directa

Una prueba directa consiste en extraer una conclusión, a partir de una o más  proposiciones verdaderas, que forman las premisas.

1.        Los teoremas en geometría (y en matemática) presentan unas condiciones hipotéticas, y luego establecen una conclusión.  Son de la forma (o pueden escribirse como):

 

 

Si _p_ entonces __q_ donde p es la hipótesis, q es la conclusión.  Esto es, son implicaciones o condicionales.  Recuerde que implicación p q es falsa solamente cuando p es cierto y q falso.

 

Una proposición condicional, es aquella que está formada por dos proposiciones simples compuesta p y q. La cual se indica de la siguiente manera:

 

“Si... entonces...” (Que indica implicación):

Se trata de un nuevo tipo de conector, cuya estructura es de tipo si... entonces.... aunque bien puede suceder que la segunda de las palabras no esté implícita, es decir, no aparezca formalmente en la proposición. Un enunciado de forma p ~q (léase "p implica q" 0 "si p, entonces q") se llama una implicación 0 condicional. El enunciado representado por p es la hipótesis de la implicación y el enunciado representado por q es la conclusión.

Ejemplo:

El enunciado "Todos los perritos de la pradera son roedores" puede reescribirse  de las siguientes maneras equivalentes:

Cada perrito de la pradera es roedor.

Ø  El hecho de que un animal sea un perrito de la pradera implica que es roedor.

Ø   Si un animal es un perrito de la pradera, entonces es roedor.

                    Hipótesis                                     Conclusión

Ejemplo: El  recíproco  de una implicación se forma invirtiendo la hipótesis y la conclusión.

Ø   El contrario del enunciado "Si un animal es un perrito de la pradera, entonces es roedor" es el enunciado:

o   Si un animal es roedor, entonces es un perrito de la pradera".

o   Como los ratones también son roedores,

El reciproco es falso

 

El bicondicional "Hoy es martes si y solo si ayer fue lunes" puede reescribirse como la conjunci6n: "Si hoy es martes. entonces ayer fue lunes, y si ayer fue lunes, entonces hoy es martes". Una regla de  lógica consiste en dos enunciados dados llamados premisas y un enunciado llamado conclusión, que se deduce de ellas.

 

Ejemplo

Si los libros cantan, entonces los árboles lloran.

 “Si y solo si” (que indica implicación en los dos sentidos)

 

Prueba Formal

En lógica, la veracidad o falsedad de una proposición compuesta se determina exclusivamente a base de la veracidad o falsedad de las proposiciones combinadas y de un criterio preestablecido para cada conectivo.  Los criterios de veracidad o falsedad para cada conectivo son: (p, q son proposiciones arbitrarias).

 

p Ú q es cierto cuando por lo menos uno de los dos es cierto.

p Ù q es cierto cuando los dos son ciertos.

~ q es cierto cuando q es falso, y falso cuando q es cierto.

 p q es falso únicamente cuando p es cierto y q es falsa.

p n q es cierto únicamente cuando las dos son ciertas o las dos son falsas.

 

Tabla de verdad

              

Dependiendo de la veracidad de las proposiciones simples que forman una proposición compuesta, la validez de esta última se rige por la siguiente tabla de verdad:

 

p

q

~p

~q

pÚq

p¯q

pÙq

p Þ q

q Þ p

p Û q

V

V

F

F

V

F

V

V

V

V

V

F

F

V

V

V

F

F

V

F

F

V

V

F

V

V

F

V

F

F

F

F

V

V

F

F

F

V

V

V

 

 

 

 

 

 

 

 

 Las proposiciones compuestas se clasifican en tautologías, contradicciones y contingencias.   

 a) Tautología : Proposición siempre verdadera.

b) Contradicción: Proposición siempre falsa.

c) Contingencia: Puede ser verdadera o falsa, dependiendo de los valores  de verdad  de las proposiciones simples que intervienen.

 

Ejemplo:

 

Sea  p: Un triángulo con dos ángulos de 60° es equilátero.

        q: La ecuación cuadrática x2 + 1 = 0 tienen solución real.

p q: Si un triángulo que tiene dos ángulos de 60° es equilátero entonces la ecuación cuadrática

x2 +1= 0 tienen solución real. La proposición p q es falsa, porque p es cierto y q es falsa y el criterio para la implicación indica que cuando esto ocurre, la proposición completa es falsa.

 

Ejemplo

 

Argumento:

Premisa: Si no llueve la casa se quema.  La casa se quemó

Conclusión: No llovió

El argumento no es válido.  La conclusión no

 

sigue a las premisas y no es válida.

Razón: Sea p: Llueve   y    q: La casa se quema

Simbólicamente tenemos el argumento:

Premisa: ~ p ® q

Si construimos la tabla de verdad tenemos:

                                   

Localice las premisas que son (o las asumimos) ciertas (P), y observe la conclusión ~ p que corresponde, en un caso es F (falsa) \ no llovió.  Por tanto la conclusión no es inescapable, luego no es válido el argumento.

 

Un argumento no válido que lleva a una conclusión aparentemente válida se conoce en lógica como una falsedad.  En este caso se llama la falacia del converso.  Vea que en realidad, el argumento lo que hace es afirmar que si una implicación es cierta su converso también lo es.

 

 

 

 

© Derechos Reservados

Escuela Virtual de Educación Acelerada Proyecto Salón Hogar Inc.


Nota:

Esta propuesta es propiedad intelectual de la Escuela Virtual de Educación Acelerada Proyecto Salón Hogar. Divulgar o compartir su contenido sin autorización entra en violación de la seguridad recíproca requerida. Se tomarán las acciones necesarias para asegurar que su uso sea sólo para beneficio de la matrícula del Proyecto.