Titulo: Análisis de Datos y Probabilidad

 

 Módulo Núm.  5


TABLA DE CONTENIDO

            PRE-Prueba

Instrumentos de Navegación

Introducción

Objetivos

Materiales y equipo

Lección #1: Probabilidad  

                        Eventos

                        Permutaciones

                        Diagrama de árbol

                        Sucesos y clasificación

Teoría de Probabilidad

Lección #2: Análisis de Datos

                        Diagramas de Dispersión

            Respuestas a los ejercicios

Pos – Prueba

Apéndice

Referencias

           

 

 

 PRE-PRUEBA

Escoge la mejor contestación:

 

1. Es una actividad cuyos resultados se han observado.

            a) experimento

            b) evento

            c) resultados

            d) espacio muestral

 

2. La observación se considera como:

           

            a) resultados

            b) experimento

            c) evento

            d) espacio muestral

 

3. Los efectos posibles de cualquier experimento se conocen como:

           

            a) experimento

            b) resultados

            c) evento

            d) espacio muestral

 

4) Al conjunto de todos los resultados posibles de un experimento se conoce:

 

            a) experimento

            b) resultados

            c) evento

            d) espacio muestral

 

5) Es la manera de mostrar todos los posibles resultados en un experimento:

           

            a) experimento

            b) diagrama de árbol

            c) espacio muestral

            d) suceso

 

 6) Es la unión de uno o más resultados posibles de un experimento.

 

            a) diagrama de árbol

            b) suceso

            c) espacio muestral

            d) evento

 

7) Siempre desde 0 hasta 1, se conoce:

 

            a) suceso

            b) probabilidad

            c) espacio muestral

            d) evento

 

8) El número factorial de 3!

 

            a) 3 x 2 x 1 = 6

            b) 2 x 1 =2

            c)  3 x 2 x 1 x 0= 0

            d)  3 x 1 = 3

 

9) Cada giro de la aguja produce un  resultado, una letra de la ruleta. ¿Cuál es la probabilidad de obtener la letra A?

           

               a) 1/6                               

               b) 2/6           

                    c) 0                      

               d) 1

 

 10) La probabilidad de lanzar una moneda: 

 

a) 4/6

            b) ½

            c) 2/3

            d) ¾

11) Si tenemos en una caja 15 piedras verdes y 9 piedras rojas. La probabilidad

    de sacar una piedra roja en un intento es:

            a) 9/15

            b) 1

            c) 9/24

            d) 3/5

 

12) La permutación de 2 elementos es:

            a) 4

            b) 3

            c) 1

            d) 2

13) Félix tiene dos camisas y tres pantalones.?Cuántas combinaciones posibles tiene Félix al vestirse?

            a) 2

            b) 3

            c) 6

            d) 36

14) Margarita tiene 3 pares de zapatos, 3 de carteras y 3 pares de medias. ¿Cuántas combinaciones puede hacer con estos artículos?

            a) 27

            b) 6

            c) 12

            d) 0

 

15) Inés  y Edgardo esperan su primer hijo pero no conocen si es niño o niña.

¿Cuál será el posible resultado?

           

            a) 1 niño + 1 niña

b) 1 niño

c) 1 niña

d) todas las anteriores

­­­­­­­­­­­­­­

 

 

INTRODUCCION

El concepto de probabilidad nace con el deseo del hombre conocer con certeza los eventos futuros. Lo fundamental  de la probabilidad es la de mostrar al alumno  la importancia y utilidad del Método Estadístico en el ámbito económico empresarial. Con tal fin, el alumno deberá aprender a mejorar los métodos y técnicas más adecuadas para el correcto tratamiento  y análisis de la información proporcionada por los datos que genera la actividad  económica.

 

OBJETIVOS

 

Al finalizar el módulo el estudiante podrá:

·        Aprender diferentes métodos estadísticos

·        Analizar datos, hacer inferencias y predicciones

            basadas en los datos

·        Comprender y usar los conceptos básicos de probabilidad

        

 

MATERIALES Y EQUIPO NECESARIO

 Módulo INTRUCCIONAL en “PowerPoint”

Laptop

 

 

LECCION #1: PROBABILIDAD

 

DESARROLLO

 

Algunos conceptos básicos en el desarrollo de la probabilidad, que el estudiante deberá de analizar.

TEORÍA DE PROBABILIDADES

La teoría de probabilidades se ocupa de asignar un cierto número a cada posible resultado que pueda ocurrir en un experimento aleatorio, con el fin de cuantificar dichos resultados y saber si un suceso es más probable que otro

 

A.    Propiedad Fundamental de Conteo

 

En probabilidad existe la Propiedad Fundamental de Conteo:

 

                                    evento

                                    permutaciones

                                    combinaciones

                                    factorial

                                    diagrama de Árbol

                       

     A continuación les presentamos algunas definiciones de conceptos básicos de la teoría de la probabilidad.

 

                                    1. Eventos

*       Cualquier número de consecuencia o resultados u observaciones de un experimento.

Ejemplo 1: Obtener un 5 al realizar el experimento de lanzar al azar un dado de seis caras balanceado (todas las caras del dado son igualmente probables).Este evento consta de una observación posible.

Para el siguiente ejemplo entendamos que tradicionalmente decimos cara obtenemos el lado de la moneda americana que contiene la imagen de un  presidente y el otro lado lo llamamos cruz.

Ejemplo 2: Obtener una cara y cruz en el experimento de lanzar dos monedas americanas, ambas al azar.

     Notemos que se obtiene el 5 en el dado de una sola forma, pero  una cara y una cruz en dos monedas hay dos formas distintas de obtenerse (cara-cruz y cruz-cara). Este evento consta de dos observaciones.

 

Clases de eventos:

a)     Evento Simple: llamamos  evento simple a cualquier evento que consta de un  solo resultado u observación de u n experimento.

Ejemplo 3: Obtener  un  3 al lanzar un dado al azar es un evento simple pues ocurre de una sola forma.

Ejemplo 4: Obtener un número impar al lanzar un dado al azar no es un evento simple pues ocurre de mas de una forma, pues puede ser 1,3 o 5.

b)    Espacio Muestral: El espacio muestral de un experimento es el         conjunto que contiene solamente a todos los eventos simples posibles. Se utiliza la letra S para representar el espacio muestral.

Ejemplo 5: Halle el espacio muestral de lanzar al azar un  dado.

Respuesta: S = { 1,2,3,4,5,6}

Ejemplo 6: Halle el espacio muestral de lanzar al azar dos monedas americanas.

Respuesta: S ={ (cara,cara), (cara-cruz), cruz,cara) ,(cruz,cruz)}

 

Ejercicio 1:

 

1.     Lanzamos un dado y luego una moneda americana, ambas al azar.

a)     halle el espacio  muestral

b)    determine si cada uno de los siguientes eventos es simple o no.

1)    obtener 5 en el dado y cruz en la moneda

2)     obtener 3 en el dado

3)    obtener cara en la moneda

 

2.     Una pareja planifica tener tres hijos. Considerando solo el género de estos:

a)     halle el espacio muestral

b)    determine si cada uno de los siguientes eventos es simple o no.

1)    obtener u  solo varón

2)    obtener 3 niñas

3)    obtener un  varón  como primogénito

4)    obtener todos sus hijos de igual género

 

Fórmula: Probabilidad de un Evento:

probabilidad de un evento= 

 

A partir de esta definición las probabilidades de los posibles resultados del  experimento se pueden determinar sin realizar el experimento.    

Ejemplo 7. Al lanzar un dado al azar, ¿Cuál es la probabilidad de obtener un número par?

Solución: El evento de obtener un número par al lanzar un dado al azar. Notemos que S = {1,2,3,4,5,6} y todos los resultados igualmente probables.

Puede ocurrir de tres formas distintas (2,4,6) Por lo tanto, la probabilidad  de un evento es:

 

Ejemplo 8: Si se extrae una carta de un paquete  de 52 cartas de las cuales 26 son negras (13 espadas A, 2,3,…,10,J,Q,K); 13 son tréboles); y 26 son rojas ( 13 corazones y 13 diamantes), halle la probabilidad de que la carta sea:

                        1) una K

 

                         2) roja.

 

 

                                  3) de diamante.

 

2. Permutaciones

Se denominan permutaciones de n elementos, los diferentes grupos que se puede hacer tomándolos todos de una vez. Las permutaciones implican orden en la colocación de los elementos. Se llama permutaciones de m elementos (m = n) a las diferentes agrupaciones de esos m elementos de forma que:

 

·        Sí entran todos los elementos.

·        Sí importa el orden.

·        No se repiten los elementos.

 

El número de permutaciones de n elementos es r grupos se calcula utilizando la siguiente ecuación:

 

 

Ejemplo: ¿De cuántas maneras distintas se puede determinar de 7 personas, 3 tienen camisas azules?

 

Ejercicio #2. Las posiciones diferentes que pueden ocupar 5 personas en  una   fila de 12 sillas en el salón de ciencias. Calcula la permutación.

 

3. Combinaciones.

 

     Las combinaciones son un escogido de elementos realizados en cualquier orden, ya que el orden no es importante. En este caso, el  número de combinaciones  de n elementos separados en grupos r se representa como sigue:

 

 

Ejemplo:   Halla el número de 5 sándwiches  con tres ingredientes  diferentes con panes distintos que puedes pedir.

 

 

Ejercicio#3. Meche tiene 4 blusas y 3 faldas que hacen juego, ¿Cuántas   combinaciones de blusa y falda son  posibles?                                                                    

 

 

 

Ejercicio #4. Víctor tiene dos maneras de ir a la escuela y 7 maneras de ir de la escuela a la casa de la abuelita. ¿De cuántas maneras puede ir a casa  de su abuelita, pasando por la escuela?

 

 

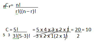
3. Factoriales

El número factorial es aquel número natural que es el producto  de todos los

números naturales  entre 1 y n. El factorial de 0 es igual a 1. Un factorial se representa como:

 

 

 Ejemplo: Calcula cada factorial y simplifica.

 

a) 5! = 5 x 4 x 3 x 2 x 1 = 120

b) 3! = 3 x 2x 1= 6

 

Ejercicio# 5. Calcula cada factorial.

 

a) 2!

b) 5!

c ) 3!

d) 9!

e) 10!

 

 

1.     Diagramas de  Árbol

 

Un diagrama de árbol  es una manera de mostrar todos los posibles resultados en un experimento.

*       Para la construcción de un diagrama en árbol se partirá poniendo una rama para cada una de las posibilidades, acompañada de su probabilidad.

*       En el final de cada rama parcial se constituye a su vez, un nudo del cual parten nuevas ramas, según las posibilidades del siguiente paso, salvo si el nudo representa un posible final del experimento (nudo final).

*       Hay que tener en cuenta: que la suma de probabilidades de las ramas de cada nudo ha de dar 1.

Ejemplo: Tienes dos camisas: una blanca y una amarilla, tres pantalones: uno negro, un o azul y uno crema.

 

 

Ejemplo:

Dibuja un  diagrama de árbol, lanzando una moneda dos veces. Utiliza el diagrama para hallar el número de resultados posibles                                      

               H=cara   T=cruz                                                                         

 

 

Resultados

 

 

Ejercicio # 6. Elabora un diagrama de árbol. Determina cuántos números de tres dígitos pueden escribirse con los dígitos {1, 2,3}.

Ejercicio # 7.  Dibuja un  diagrama de árbol: el experimento consiste en rodar un dado y lanzar la moneda. Utiliza el diagrama para hallar el número de resultados.

 

 

 

E. Sucesos

 

Sucesos y clasificación

*       Un suceso es cada uno de los resultados posibles de una experiencia aleatoria.

*        Al lanzar una moneda salga cara.

*        Al lanzar un dado se obtenga 4.

Suceso compuesto

Suceso compuesto es cualquier subconjunto del espacio muestral.

Por ejemplo al tirar un dado un suceso sería que saliera par, otro, obtener múltiplo de 3.

Sucesos independientes

Dos sucesos, A y B, son independientes cuando la probabilidad de que suceda A no se ve afectada porque haya sucedido o no B.

Al lazar dos dados los resultados son independientes.

Sucesos dependientes

Dos sucesos, A y B, son dependientes cuando la probabilidad de que suceda A se ve afectada porque haya sucedido o no B.

Extraer dos cartas de una baraja, sin reposición, son sucesos dependientes.

 

 LECCIÓN #2: ANÁLISIS DE DATOS

 

ANÁLISIS DE DATOS

*       En las distribuciones bidimensionales a cada individuo le corresponden los valores de dos variables, las representamos por el par (xi, yi).

*       Si representamos cada par de valores como las coordenadas de un punto, el conjunto de todos ellos se llama nube de puntos o diagrama de dispersión.

*       Sobre la nube de puntos puede trazarse una recta que se ajuste a ellos lo mejor posible, llamada recta de regresión.

 

Ejemplo:

*       Las notas de 12 alumnos de una clase en Matemáticas y Física son las siguientes:

 

 

A. Diagramas de Dispersión

 

*        Un diagrama de dispersión es un tipo de diagrama matemático que utiliza las coordenadas cartesianas para mostrar los valores de dos variables para un conjunto de datos.

*       Los datos se muestran como un conjunto de puntos, cada uno con el valor de una variable que determina la posición en el eje horizontal y el valor de la otra variable determinado por la posición en el eje vertical. Un diagrama de dispersión se llama también gráfico de dispersión.

 

                      Gráficos de   Dispersión

*       El cuadro de diálogo siguiente recoge diferentes tipos de diagramas de dispersión. Éstos pueden ser:
        1. Simple, Superpuesto, Matricial,3-D

 

*

 

DIFERENTES DIAGRAMAS DE DISPERSIÓN

 

 

*       ¿Qué es un diagrama de dispersión?

*       Gráfica realizada trazando puntos en un plano coordenado de acuerdo con los valores pares observados para mostrar la relación entre dos variables.

*       Línea de _ajor ajuste

 Es una  línea recta dibujada lo más cercanamente posible a diversos puntos en un diagrama de dispersión para representar la tendencia de la mejor manera.

 

 RESPUESTAS A LOS EJERCICIOS:

Ejercicio #1

1. a) S = {(1- cara),(2 –cara), ( 3- cara), (4- cara), (5 –cara), (6- cara),(1- cruz), ( 2-cruz),

     ( 3 –cruz), ( 4- cruz), ( 5- cruz), ( 6- cruz)

     b) 1) simple

          2) no es simple

          3) no es simple

2) a) S= {FFF, FFM, FMF, FMM, MFF, MFM, MMF, MMM}

     b) 1) no es simple

          2) simple

          3) no es simple

          4) no es simple

 

Ejercicio#2.

 

 

Ejercicio #3.

 

 

Ejercicio # 4.

 

Ejercicio # 5.

 

            a) 2 x 1 = 2

            b) 5 x 4 x 3 x 2 x 1 = 120

            c) 3 x 2 x 1 = 6

            d) 9 x 8 x 7 x 6 x 5 x 4 x 3 x 2 x 1 = 362880

           e) 10x 9 x 8 x 7 x 6 x 5 x 4 x 3 x 2 x 1 = 3628800

 

Ejercicio # 6

 

 

Ejercicio #7. Se pueden escribir seis formas: (1,2,3), (2,3,1),(3,2,6),(3,1,2),(2,1,3),(1,3,2)

 

POST-PRUEBA

 

Escoge la mejor contestación:

1. Es una actividad cuyos resultados se han observado.

            a) experimento

            b) evento

            c) resultados

            d) espacio muestral

2. La observación se considera como:

           

            a) resultados

            b) experimento

            c) evento

            d) espacio muestral

3. Los efectos posibles de cualquier experimento se conocen como:

           

            a) experimento

            b) resultados

            c) evento

            d) espacio muestral

4) Al conjunto de todos los resultados posibles de un experimento se conoce:

 

            a) experimento

            b) resultados

            c) evento

            d) espacio muestral

5) Es la manera de mostrar todos los posibles resultados en un experimento:

           

            a) experimento

            b) diagrama de árbol

            c) espacio muestral

            d) suceso

 

 

6) Es la unión de uno o más resultados posibles de un experimento.

 

            a) diagrama de árbol

            b) suceso

            c) espacio muestral

            d) evento

7) Siempre desde 0 hasta 1, se conoce:

 

            a) suceso

            b) probabilidad

            c) espacio muestral

            d) evento

8) El número factorial de 3!

 

            a) 3 x 2 x 1 = 6

            b) 2 x 1 =2

            c)  3 x 2 x 1 x 0= 0

            d)  3 x 1 = 3

9) Cada giro de la aguja produce un  resultado, una letra de la ruleta. ¿Cuál es la  probabilidad de obtener la letra A?

 

 

a) 1/6                            

b) 2/6           

c) 0    

d) 1

 

10) La probabilidad de lanzar una moneda:

            a) 4/6

            b) ½

            c) 2/3

            d) ¾

 

11)  Si tenemos en una caja 15 piedras verdes y 9 piedras rojas. La probabilidad de sacar una piedra roja en un intento es:

            a) 9/15

            b) 1

            c) 9/24

            d) 3/5

12) La permutación de 2 elementos es:

            a)4

            b)3

            c)1

            d)2

13) Félix tiene dos camisas y tres pantalones? Cuántas combinaciones posibles tiene Félix al vestirse?

            a) 2

            b) 3

            c) 6

            d) 36

14) Margarita tiene 3 pares de zapatos, 3 de carteras y 3 pares de medias. ¿Cuántas combinaciones puede hacer con estos artículos?

            a) 27

            b) 6

            c) 12

            d) 0

 

15) Inés  y Edgardo esperan su primer hijo pero no conocen si es niño o niña. ¿Cuál será el posible resultado?

           

            a) 1 niño + 1 niña

b) 1 niño

c) 1 niña

d) todas las anteriores

 

 

APÉNDICE

 

Respuestas a la Pre y Pos Prueba

                        1) a

                        2) c

                        3) b

                        4) d

                        5) b

                        6) b

                        7) b

                        8) a

9)a

10) b

11) c

12) d

                        13) c

                        14) b

                        15) a

 


Nota:

Esta propuesta es propiedad intelectual de la Escuela Virtual de Puerto Rico. Divulgar o compartir su contenido sin autorización entra en violación de la seguridad recíproca requerida. Se tomarán las acciones necesarias para asegurar que su uso sea sólo para beneficio de la matrícula del Proyecto.