S k i l l
 i n
A L G E B R A

Table of Contents | Home

32

THE PYTHAGOREAN DISTANCE FORMULA

The distance of a point from the origin


BASIC TO TRIGONOMETRY and calculus, is the theorem that relates the squares drawn on the sides of a right-angled triangle. Credit for the theorem goes to the Greek philosopher Pythagoras, who lived in the 6th century B. C.

Here is the statement of the theorem:

In a right triangle the square drawn on the side opposite the right angle
is equal to the squares drawn on the sides that make the right angle.

The Pythagorean Theorem

This means that if ABC is a right triangle with the right angle at A, then the square drawn on BC opposite the right angle, is equal to the two squares together on CA, AB.

In other words, if it takes one can of paint to paint the square on BC, then it will also take exactly one can to paint the other two squares.

The side opposite the right angle is called the hypotenuse ("hy-POT'n-yoos";  which literally means stretching under).

Algebraically, if the hypotenuse is c, and the sides are a, b:

a² + b² = c²

For more details and a proof, see Topic 3 of Trigonometry.

Problem 1.   Calculate the length of the hypotenuse c when the sides are as follows.

To see the answer, pass your mouse over the colored area.
To cover the answer again, click "Refresh" ("Reload").
Do the problem yourself first!

   a)  a = 5 cm, b = 12 cm   b)  a = 3 cm, b = 6 cm
c² = 5² + 12²   c² = 3² + 6²
 
  = 25 + 144     = 9 + 36
 
  = 169     = 9(1 + 4)
 
Therefore, c =   Therefore, c =
 
  = 13 cm     = cm,
        on simplifying the radical.

The distance of a point (x, y) from the origin

According to meaning of the rectangular coordinates (x, y), and the Pythagorean theorem,

d ² = x² + y².

Therefore,

"The distance of a point from the origin
is equal to the square root of the
sum of the squares of the coordinates."

Example 1.   How far from the origin is the point (4, −5)?

Problem 2.   How far from the origin is the point (−5, −12)?

The distance between any two points

How far is it from (4, 3) to (15, 8)?

Consider the distance d as the hypotenuse of a right triangle.  Then according to Lesson 31, Problem 5, the coordinates at the right angle are (15, 3).

Therefore, the vertical leg of that triangle is simply the distance from 3 to 8:   8 − 3 = 5.

The horizontal leg is the distance from 4 to 15:   15 − 4 = 11.

Therefore,

To find a formula, let us use sub-scripts and label the two points (x1, y1)
("x-sub-1, y-sub-1")  and  (x2, y2)  ("x-sub-2, y-sub-2") .

The sub-script 1 labels the coordinates of the first point; the sub-script 2 labels the coordinates of the second.  (We write the absolute value, because distance is never negative.)  Here then is the Pythagorean distance formula between any two points:

It is conventional to denote the difference of x-coordinates by the symbol Δx ("delta-x"):

Δx = x2x1

Similarly,

Δy = y2y1

Therefore,

Example 2.   Calculate the distance between the points (1, 3) and (4, 8).

  Solution. Δx = 4 − 1 = 3
 
  Δy = 8 − 3 = 5

Therefore,

Note:  It does not matter which point we call the first and which the second.  Alternatively,

  Δx = 1 − 4 = −3
 
  Δy = 3 − 8 = −5

But (−3)² = 9,  and  (−5)² = 25.  The distance between the two points is the same.

Example 3.   Calculate the distance between the points (−8, −4) and (1, 2).

  Solution. Δx = 1 − (−8) = 1 + 8 = 9
 
  Δy = 2 − (−4) = 2 + 4 = 6

Therefore,

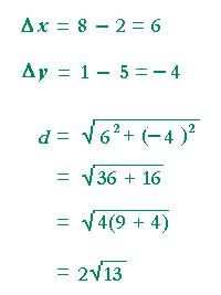
Problem 3.   Calculate the distance between (2, 5) and (8, 1)

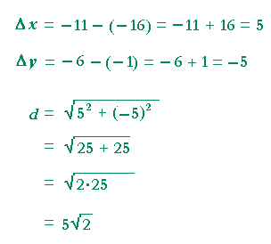
Problem 4.   Calculate the distance between (−11, −6) and (−16, −1)


Next Lesson:  The equation of a straight line


Table of Contents | Home


Please make a donation to keep TheMathPage online.
Even $1 will help.


Copyright © 2001-2007 Lawrence Spector

Questions or comments?

E-mail:  themathpage@nyc.rr.com