Topics in

P R E C A L C U L U S

Table of Contents | Home

3

FUNCTIONS

What is a function?


What is a function?

WHEN ONE THING DEPENDS on another, as, for example, the area of a circle depends on the radius, or the temperature on the mountain depends on the height, then we say that the first is a "function" of the other.  The area of a circle is a function of -- it depends on -- the radius.

Mathematically:

A relationship between two variables, typically x and y, is called a function, if there is a rule that assigns to each value of x
one and only one value of y.

Thus a "function" must be single-valued ("one and only one").  For example,

y = 2x + 3.

To each value of x there is a unique value of y.


The values (Topic 2) that x may assume are called the domain of the function.  We say those are the values for which the function is defined.

In the function  y = 2x + 3, the domain may include all real numbers (Topic 2).  x could be any real number.  Or, as in Example 1 below, the domain may be arbitrarily restricted.

There is one case however in which the domain must be restricted:  A denominator may not be 0.  In this function,

y =    1   
x − 2
,

x may not take the value 2.  For, division by 0 is an excluded operation. (Lesson 6 of Algebra.)

Once the domain has been defined, then the values of y that correspond to each value of x, are called the range.   Thus if 5 is a value in the domain of  y = 2x + 3,  then y = 2· 5 + 3 = 13  is the corresponding value in the range.

By the value of the function we mean the value of y.  Again, when x = 5, we say that the value of the function is 13.  The range, then, is composed of the values of the function.

It is customary to call x the independent variable, because we are given, or we must choose, the value of x first.  y is then called the dependent variable, because its value will depend on the value of x.

Example 1.   Let the domain of a function be this set of values:

A = {0, 1, 2, −2}

and let the variable x assume each value.  Let the rule that relates the value of y to the value of x be the following:

y = x² + 1.

a)  Write the set of ordered pairs (x, y) which "represents" this function.

Answer.  {(0, 1),  (1, 2),  (2, 5),  (−2, 5)}

That is, when x = 0, then y = 0² + 1 = 1.

When x = 1, then y = 1² + 1 = 2.  And so on.

b)  Write the set B which is the range of the function.

Answer.  B = {1, 2, 5, 5}.  The values in the range are simply those values of y that correspond to each value of x.

Notice that to each value of x in the domain there corresponds one -- and only one -- value of the function.  Even though the value 5 is repeated, it is still one and only one value.

Example 2.   Here is a relationship in which y is not a function of x:

y² = x

When x = 4, for example -- y² = 4 -- then y = 2 or −2.  To each value of x, there is more than one value of y.

Problem 1.   Let y be a function of x as follows:

y = 3x²

a)  Which is the independent variable and which the dependent variable?

To see the answer, pass your mouse over the colored area.
To cover the answer again, click "Refresh" ("Reload").

x is the independent variable, y is the dependent.

b)  The domain of a function are the values of the independent variable, b)  which are the values of x.

c)  What is the natural domain of that function?

Since there is no natural restriction on the values of x, the natural domain of that function is any real number.  x could take any value on the x-axis.

d)  The range of a function are the values of the dependent variable,
d)  which are the values of y.

e)  What is the range of that function?  (Consider that the values of x² are
e)  never negative.)

  y 0

(If you are not viewing this page with Internet Explorer 6, then your browser may not be able to display the symbol , "is greater than or equal to;" or , "is less than or equal to.")

f)  Write any three values of that function as members of an ordered pair.

For example, (1, 3), (2, 12), (3, 27)

Functional notation

Say that we are considering two functions -- two rules:

y = x² + 1   and   y = 5x.

Then it will be convenient to give each of them a name.  Let us call the function -- the rule -- y = + 1  by the name "f."  And let us call  y = 5x  by the name "g."  We will write the following:

f(x) = x² + 1   and   g(x) = 5x.

We read this,

"f of x equals x² + 1   and   g of x equals 5x."


The parentheses in f(x)  ("f of x")  do not mean multiplication.  They are part of what is called functional notation.  f is the name of the function.  And x, which is placed within the parentheses, is called the argument of the function.  It is upon the argument that the function called f will "operate."

Thus, the function f has been defined as follows:

f(x) = x² + 1.

This means that f will square its argument, and then add 1.

For example,

f(7)  =  7² + 1 = 50
 
f(−4)  =  (−4)² + 1 = 17
 
f(t)  =  t ² + 1
 
f(x + h)  =  (x + h)² + 1 = x² + 2xh + h² + 1.

(Lesson 18 of Algebra:  The square of a binomial.)

That is how the function f treats any argument -- which is the input.  The output is the value of the function.  We could illustrate it as follows:

f(x) = x² + 1

An argument x goes into the f machine.  Out comes  x² + 1

We write

y = f(x).

"y is a function of x."

f(x), then, is the dependent variable.  Its value will depend on the value of x.  We saw above that when x = 7,  f(x) = 50.  When x = −4,
f(x) = 17.

f(x) is the dependent variable.

A function of a function

Again, let us consider these functions:

f(x) = x² + 1   and   g(x) = 5x.

And now consider this function,

f(g(x)).

"f of g of x"

f has g as its argument:

f(g(x)) = f(5x) = (5x)² + 1 = 25x² + 1.

Again, f squares its argument and adds 1.

Now let's look at

g(f(x)).

g will operate on f.  What does g do to its argument?  It simply multiplies the argument by 5.  Therefore,

g(f(x)) = g(x² + 1) = 5(x² + 1) = 5x² + 5.

The parentheses in  g(x² + 1)  are the parentheses of the functional notation.  The parentheses of  5(x² + 1), however, are the grouping parentheses, which here indicate multiplication by 5.

Problem 2.   Read each symbol.

  a)  f(x)   "f of x"   b)  g(x)   "g of x"
 
  c)  f(2)   "f of 2"   d)  g(−1)   "g of −1"
 
  e)  f(x² − 1)   "f of − 1"   f)  f(g(x))   "f of g of x"

Problem 3.   Let f(x) = − 1.  Evaluate the following.

  a)  f(1)   1² − 1 = 0   b)  f(−2)   3
 
  c)  f(2/3)   − 5/9   d)  f(− 7/5)   24/25

Problem 4.   Let g(x) = 2 − x.   Evaluate the following.

  a)  g(0)   2   b)  g(−1)   3
 
  c)  g(6)   −4   d)  g(−4)   6

Problem 5.   Let y = f(x) = 1 − x³.   What is the value of the function when

  a)  x = 0.    y = 1   b)  x = −1.    y = 2
 
  c)  x = q.   y = 1 − q³   d)  x = −q.    y = 1 + q³

Problem 6.   Let f(x) = 4x².  Write what results when f operates on each argument.

  a)  f(r)   4r²   b)  f(t)    4t²
 
  c)  f(x5)    4x10   d)  f(x − 5)   4(x − 5)² = 4 −40x + 100
 
  e)  f(1/x²)    4/x4   f)  f)    x

Problem 7.   Function of a function.    Let  f(x) = x²  and 
g(x) = x + h.  Write the function

a)   f(g(x))  = f(x + h) = (x + h)² = x² + 2xh + h²

b)   g(f(x))  = g(x²) = x² + h

Problem 8.   Let f(x) = x − 3,  and  g(x) = 3 − x.  Write the functions
f(g(x))  and  g(f(x)).

f(g(x)) = f(3 − x) = (3 − x) − 3 = −x

g(f(x)) = g(x − 3) = 3 − (x − 3) = 3 − x + 3 = 6 − x

Problem 9.   Let f(x) = x5  and  g(x) = x1/5.  Write the functions
f(g(x))  and  g(f(x)).

f(g(x)) = f(x1/5) = (x1/5)5 = x1 = x

g(f(x)) = g(x5) = (x5)1/5 = x

Problem 10.   For each function f(x), determine this difference quotient in a simplified form.

f(x + h) − f(x)
          h

a)   f(x) = 2x + 1

2(x + h) + 1 − (2x + 1)
             h
  =   2x + 2h + 1 − 2x − 1
             h
 
    =   2h
 h
 
    =   2

b)   f(x) = x²

1) (x + h)² − x²
         h
  =   x² + 2xh + h² − x²
            h
 
2)     =   2xh + h²
     h
 
3)     =   2x + h

In Line 1) we squared the binomial x + h.

In Line 2) we subtracted the x²s.

In Line 3) we divided both the numerator and denominator by h.

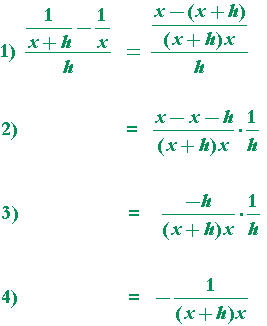
  c)   f(x) =  1
x

In Line 1) we added the fractions in the numerator of the complex fraction. (Lesson 23 of Algebra.)

In Line 2) we removed the parentheses in the numerator, and multiplied by the reciprocal of the denominator. (Lesson 22 of Algebra.)

In Line 3) we subtracted the x's.

In Line 4) we canceled the h's as −1, which on multiplication with 1 makes the fraction itself negative. (See Lesson 22 of Algebra, Problem 3h.)


Next Topic:  Introduction to graphs


Table of Contents | Home


www.proyectosalonhogar.com