Combinatoria

Los creadores de la teoría de la combinatoria son: Blaise Pascal y Gottfried Wilhelm Leibniz. (Retrato de Pascal. Retrato de Leibniz).

Mi padre me dice que si me aprendo las fórmulas no sabré resolver estos problemas. Creo que tiene razón, pero de todas formas, por si alguien las necesita, aquí están:

 

¿Importa el orden en que se sitúen los elementos?

NO

Elementos

¿Se pueden repetir los elementos?

NO

Combinaciones

Variaciones

No se utilizan todos.

Permutaciones

Se utilizan todos.

Combinaciones

Variaciones con repetición

No se utilizan todos.

Permutaciones con repetición

Se utilizan todos.

Combinaciones:

Variaciones: Vn,k = n (n-1)(n-2)...(n-k+1)

Variaciones con repetición: VRn,k = nk

Permutaciones: Pn = n(n-1)(n-2)...1

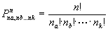
Permutaciones con repetición:

Problemas propuestos

 

Problemas resueltos

Volver a página principal.